logo

Crowdly

Browser

Add to Chrome

Теорія ймовірностей і математична статистика

Looking for Теорія ймовірностей і математична статистика test answers and solutions? Browse our comprehensive collection of verified answers for Теорія ймовірностей і математична статистика at do.ipo.kpi.ua.

Get instant access to accurate answers and detailed explanations for your course questions. Our community-driven platform helps students succeed!

Дискретна випадкова величина X задана законом розподілу:

x

рі/4

рі/2

3рі/4

p

0,2

0,7

0,1

Випадкова

величина

Y=sinX. Знайти M(Y) (відповідь заокруглити до тисячних).

0%
100%
0%
0%
View this question

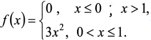
Знайти дисперсію випадкової величини X, яка

задана функцією розподілу

фф

0%
0%
0%
0%
View this question

Проводять багаторазові випробування певного елемента на

надійність доти, доки елемент не відмовить. Знайти дисперсію дискретної випадкової величини Х – кількості випробувань, які

потрібно провести. Ймовірність відмови елемента в кожному випробуванні

дорівнює 0,1.

0%
100%
0%
0%
View this question

Діаметр круга х виміряний наближено, причому 0<X<1.

Розглядаючи

діаметр як випадкову величину X, розподілену рівномірно в інтервалі (0,

1), знайти дисперсію площі круга.

100%
0%
0%
0%
View this question

Нехай X і Y — незалежні випадкові величини з експоненційним розподілом з параметром lambda. Знайдіть функцію розподілу для випадкової величини Z equals X minus Y.

0%
0%
0%
100%
View this question

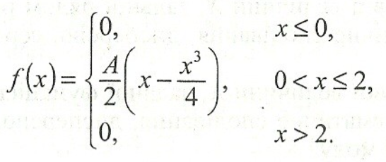
Випадкову

величину

X задано функцією розподілу :

а

Обчислити

ймовірність

попадання випадкової величини в інтервал (-p

і/4, -pі/8) (Відповідь заокруглити до тисячних).

0%
0%
0%
0%
View this question

Двоє співробітників здають звіт на перевірку. Ймовірність, що перший співробітник здасть звіт правильно, дорівнює 0,9, а ймовірність, що другий співробітник здасть звіт правильно, дорівнює 0,8. Кожен співробітник здає два звіти. Обчислити коваріацію системи not stretchy left parenthesis X comma Y not stretchy right parenthesis, де X — кількість правильно зданих звітів першим співробітником, Y — кількість правильно зданих звітів другим співробітником.

0%
100%
0%
0%
View this question

Випадкову величину задано функцією розподілу :

рис

Обчислити її медіану.

0%
0%
0%
0%
View this question

Скільки необхідно провести вимірів, щоб з імовірністю, не

меншою ніж 0,9976 можна було стверджувати, що похибка

середньої арифметичної результатів цих вимірів не перевищує

0,01, якщо вимір характеризується дисперсією 0,0008?

100%
0%
0%
0%
View this question

Двоє студентів складають іспит з математики. Ймовірність правильної відповіді на кожне питання для першого студента дорівнює 0.85, а для другого студента — 0.7. Кожен студент відповідає на три питання. Обчислити коефіцієнт кореляції Пірсона системи not stretchy left parenthesis X comma Y not stretchy right parenthesis, де X — кількість правильних відповідей у першого студента, Y — кількість правильних відповідей у другого студента.

0%
100%
0%
0%
View this question

Want instant access to all verified answers on do.ipo.kpi.ua?

Get Unlimited Answers To Exam Questions - Install Crowdly Extension Now!

Browser

Add to Chrome