logo

Crowdly

Browser

Add to Chrome

Теорія ймовірностей і математична статистика

Looking for Теорія ймовірностей і математична статистика test answers and solutions? Browse our comprehensive collection of verified answers for Теорія ймовірностей і математична статистика at do.ipo.kpi.ua.

Get instant access to accurate answers and detailed explanations for your course questions. Our community-driven platform helps students succeed!

Дискретна випадкова величина Х задана законом розподілу:

x

-3

-1

0

1

3

5

p

0,1

0,2

0,1

0,2

0,3

0,1

Випадкова величина Y=2X2-1

.

Знайти

D(Y).

100%
0%
0%
0%
View this question

Випадкову

величину

X задано функцією розподілу :

а

Обчислити

ймовірність

попадання випадкової величини в інтервал (-p

і/4, -pі/8) (Відповідь заокруглити до тисячних).

0%
0%
0%
0%
View this question

У грі в рулетку ставиться на червоне. Яка ймовірність, що відносна частота випадання червоного буде в межах від 0.45 до 0.55 за 5000 ігор?

100%
0%
0%
0%
View this question

За даними служби перевезень залізниці кількість затриманих потягів складає 10% від їх загальної щорічної кількості.  Застосовуючи теорему Бернуллі знайти, скільки потрібно зробити рейсів, щоб з ймовірністю, не меншою 0,95, можна було б сподіватись, що абсолютна величина відхилення відносної частоти затримки рейсів від її ймовірності буде меншою 0,02.

0%
0%
100%
0%
View this question

Число Х вибирається навмання з множини {1,2,3},

потім з цієї ж множини вибирається число

Y

, більше від першого, або рівне

йому. Встановити, чи залежні, чи незалежні компоненти системи (

X,Y).

100%
0%
View this question

Нехай сумісний закон розподілу випадкових величин X1

та

X

2 має вигляд:

Обчислити кореляційний момент системи випадкових величин (X,Y)

0%
0%
100%
0%
View this question

Випадкова величина X

рівномірно розподілена на

відрізку [0;1]

. Знайти D(Y) випадкової величини Y=X2.

100%
0%
0%
0%
View this question

Задана випадкова величина Х:

х

1

2

3

р

0,5

0,2

0,3

Обчислити дисперсію випадкової величини Y=X2+X

100%
0%
0%
0%
View this question

Випадкову

величину

X задано функцією розподілу :

а

Обчислити

ймовірність

попадання випадкової величини в інтервал (-p

і/4, -pі/8) (Відповідь заокруглити до тисячних).

0%
0%
0%
100%
View this question

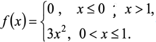
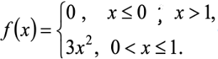
Випадкова величина X задана щільністю розподілупп

Знайти математичне сподівання випадкової величини.

0%
0%
0%
0%
View this question

Want instant access to all verified answers on do.ipo.kpi.ua?

Get Unlimited Answers To Exam Questions - Install Crowdly Extension Now!

Browser

Add to Chrome