logo

Crowdly

Browser

Add to Chrome

Теорія ймовірностей і математична статистика

Looking for Теорія ймовірностей і математична статистика test answers and solutions? Browse our comprehensive collection of verified answers for Теорія ймовірностей і математична статистика at do.ipo.kpi.ua.

Get instant access to accurate answers and detailed explanations for your course questions. Our community-driven platform helps students succeed!

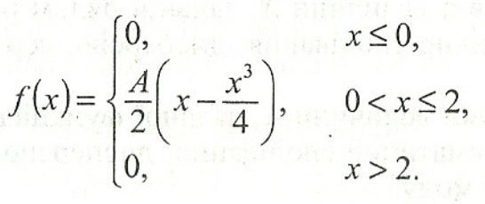
Випадкова величина X задана щільністю розподілупп

Знайти математичне сподівання випадкової величини.

0%
0%
0%
0%
View this question

Знайти дисперсію випадкової величини X, яка

задана функцією розподілу

фф

0%
100%
0%
0%
View this question

Імовірність того, що виріб є якісним, дорівнює 0,9.

Яку найменшу кількість виробів

слід перевірити, щоб із ймовірністю не меншою за 0,95 можна було

стверджувати, що абсолютна величина відхилення частки якісних виробів від 0,9

не перевищить 0,01?

100%
0%
0%
0%
View this question

Ймовірність появи події в

кожному випробуванні рівна 1/4. Використовуючи нерівність Чебишева, оцінити

ймовірність того, що число X появ події міститься в межах від 150 до 250, якщо

буде проведено 800 випробувань.

0%
0%
100%
0%
View this question

Випадкову

величину

X задано функцією розподілу :

а

Обчислити

ймовірність

попадання випадкової величини в інтервал (-p

і/4, -pі/8) (Відповідь заокруглити до тисячних).

0%
0%
0%
100%
View this question

Брак у продукції цеху з виробу однотипних деталей становить 10%. Для оцінки якості партії деталей контролер навмання вибирає по одній деталі до появи першої бракованої. Знайти математичне сподівання випадкової величини Х - кількість вибраних доброякісних виробів.

67%
33%
0%
0%
View this question

Чи є наведена функція функцією розподілу неперервної випадкової величини?

в

0%
100%
View this question

При виробництві лампочок ймовірність того, що лампочка виявиться бракованою, становить 0.05. Яка ймовірність того, що з 500 лампочок відносна частота браку буде меншою за 0.04 або більшою за 0.06?

0%
0%
0%
0%
View this question

 Випадкова величина X

рівномірно розподілена на відрізку

[0;1]

.

Знайти функцію розподілу випадкової величини

Y=X2.

0%
0%
0%
View this question

Дискретна випадкова величина Х задана законом розподілу:

xi

0

2

4

pi

0,5

0,2

0,3

Дискретна

випадкова величина

Y задана законом розподілу:

yj

-2

0

2

pj

0,1

0,5

0,4

Знайти M(Z) випадкової величини Z=X-Y.

0%
0%
0%
0%
View this question

Want instant access to all verified answers on do.ipo.kpi.ua?

Get Unlimited Answers To Exam Questions - Install Crowdly Extension Now!

Browser

Add to Chrome