logo

Crowdly

Browser

Add to Chrome

Теорія ймовірностей і математична статистика

Looking for Теорія ймовірностей і математична статистика test answers and solutions? Browse our comprehensive collection of verified answers for Теорія ймовірностей і математична статистика at do.ipo.kpi.ua.

Get instant access to accurate answers and detailed explanations for your course questions. Our community-driven platform helps students succeed!

 Діаметр круга х виміряний наближено, причому 1<X<2.

Розглядаючи

діаметр як випадкову величину X, розподілену рівномірно в інтервалі (1,

2), знайти математичне сподівання площі круга.

0%
0%
100%
0%
View this question

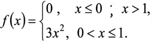
Випадкову величину задано функцією розподілу :

рис

Обчислити її початковий момент порядку 4.

0%
0%
0%
0%
View this question

Неперервна

випадкова величина задається своїми параметрами: математичним сподіванням – 40 та

дисперсією – 16. Обчислити квантиль порядку 0,5 для цієї випадкової величини.

0%
100%
0%
0%
View this question

Автомат виготовляє кульки. Кулька вважається придатною,

якщо відхилення X діаметру кульки від проектного розміру по абсолютній величині

менше 0,7 мм. Вважаючи, що випадкова величина X розподілена нормально з

середнім квадратичним 0,4 мм, знайти, скільки в середньому буде придатних

кульок серед ста виготовлених

.

0%
50%
0%
50%
View this question

Чи є наведена функція щільністю розподілу неперервної випадкової величини?

е

0%
100%
View this question

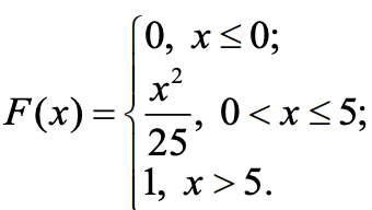
Знайти дисперсію випадкової величини X, яка

задана функцією розподілу

фф

0%
0%
0%
0%
View this question

Задана

дискретна випадкова величина:

xi

1

2

3

4

5

pi

0,4

0,1

0,3

0,1

0,1

Обчислити центральний

момент 4-го порядку.

.

0%
0%
0%
0%
View this question

Задана

дискретна випадкова величина:

xi

1

2

3

4

5

pi

0,4

0,1

0,3

0,1

0,1

Обчислити початковий момент 2-го порядку.

.

100%
0%
0%
0%
View this question

Тривалість безвідмовної роботи елемента системи –

випадкова величина, що розподілена експоненційно з параметром 0,01. Знайти

ймовірність, що протягом доби елемент відмовить (відповідь заокруглити до

десятитисячних).

100%
0%
0%
0%
View this question

На

шляху руху автомобіля

4

світлофор

и

,

кожен з яких дозволяє чи забороняє рух з ймовірністю 0,5.

Випадкова

величина Х -

кількості світлофорів, які автомобіль проїде без зупинки. Обчислити основні

числові характеристики даної випадкової величини.

0%
0%
0%
100%
View this question

Want instant access to all verified answers on do.ipo.kpi.ua?

Get Unlimited Answers To Exam Questions - Install Crowdly Extension Now!

Browser

Add to Chrome