logo

Crowdly

Browser

Add to Chrome

Теорія ймовірностей і математична статистика

Looking for Теорія ймовірностей і математична статистика test answers and solutions? Browse our comprehensive collection of verified answers for Теорія ймовірностей і математична статистика at do.ipo.kpi.ua.

Get instant access to accurate answers and detailed explanations for your course questions. Our community-driven platform helps students succeed!

Підручник видано накладом 100000 примірників. Ймовірність

того, що підручник зброшурований неправильно, дорівнює 0,0001.

Випадкова

величина Х -

кількості

неправильно зброшурованих підручників.

Обчислити її математичне

сподівання, дисперсію

.

0%
100%
0%
0%
View this question

Маємо дані для 10 аграрних компаній про врожайність

картоплі у (ц/га) та кількість внесених на 1 га мінеральних добрив х (кг). Вихідні

дані наведені у  таблиці . З допомогою коефіцієнта рангової

кореляції Кендалла виміряти щільність взаємозв’язку між цими показниками.

РГ

0%
0%
0%
0%
View this question

Задано закон розподілу системи двох

дискретних випадкових величин (X,Y):

в

Перевірити, чи є компоненти системи незалежними.

100%
0%
View this question

Нехай X — випадкова величина з розподілом N not stretchy left parenthesis 0 comma 1 not stretchy right parenthesis, а Y equals cos invisible function application not stretchy left parenthesis X not stretchy right parenthesis. Знайдіть математичне сподівання для Y.

100%
0%
0%
0%
View this question

Нехай X і Y — незалежні випадкові величини з рівномірним розподілом на відрізку not stretchy left square bracket 0 comma 1 not stretchy right square bracket. Знайдіть дисперсію для випадкової величини Z equals max invisible function application not stretchy left parenthesis X comma Y not stretchy right parenthesis.

100%
0%
0%
0%
View this question

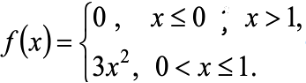
Випадкову величину задано функцією щільності :

рис

Обчислити її моду.

100%
0%
0%
0%
View this question

Ймовірність того, що в бібліотеці є потрібна студенту книга дорівнює 0,4.  Вмісті є 4 бібліотеки. Обчислити ймовірність того, що студенту доведеться обійти 3 бібліотеки міста у пошуках книги.

0%
0%
100%
0%
View this question

Задана

дискретна випадкова величина:

xi

1

2

3

4

5

pi

0,4

0,1

0,3

0,1

0,1

Обчислити коефіцієнт асиметрії.

0%
0%
0%
100%
View this question

 

Задана

дискретна випадкова величина:

xi

1

2

3

4

5

pi

0,4

0,1

0,3

0,1

0,1

Обчислити її моду.

0%
100%
0%
0%
View this question

Знайти дисперсію випадкової величини X, яка

задана функцією розподілу

фф

0%
0%
0%
0%
View this question

Want instant access to all verified answers on do.ipo.kpi.ua?

Get Unlimited Answers To Exam Questions - Install Crowdly Extension Now!

Browser

Add to Chrome