logo

Crowdly

Browser

Add to Chrome

Теорія ймовірностей і математична статистика

Looking for Теорія ймовірностей і математична статистика test answers and solutions? Browse our comprehensive collection of verified answers for Теорія ймовірностей і математична статистика at do.ipo.kpi.ua.

Get instant access to accurate answers and detailed explanations for your course questions. Our community-driven platform helps students succeed!

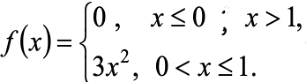
Знайти математичне сподівання випадкової величини X, яка

задана функцією розподілу

фф

0%
0%
0%
0%
View this question

Пристрій складається з

трьох незалежно працюючих елементів. Ймовірність відмови кожного елементу у

одному досліді рівна 0,1.

Випадкова величина Х – кількість елементів, що відмовили.

Обчислити математичне сподівання та дисперсію даної

випадкової величини

.

100%
0%
0%
0%
View this question

Задана

дискретна випадкова величина:

xi

1

2

3

4

5

pi

0,4

0,1

0,3

0,1

0,1

Обчислити її математичне сподівання.

0%
0%
100%
0%
View this question

Пристрій складається з трьох

елементів, що працюють незалежно один від одного. Ймовірності безвідмовної

роботи приладів 0,7; 0,8; 0,9 відповідно. Знайти значення твірної функції при

z=0, 

якщо випадкова величина Х-кількість

робочіх приладів.

0%
0%
0%
0%
View this question

Підручник видано

накладом 100000 примірників. Ймовірність того, що підручник зброшурований

неправильно, дорівнює 0,0001.

Випадкова величина Х - кількості

неправильно зброшурованих

підручників.

Знайти ймовірність того, що

наклад містить рівно п’ять бракованих книг.

83%
0%
0%
17%
View this question

При якому значені параметру А наведена функція буде функцією розподілу неперервної випадкової величини?

ц

0%
100%
0%
0%
0%
View this question

Випадкова величина X задана щільністю розподілупп

Знайти медіану випадкової величини.

0%
0%
0%
0%
View this question

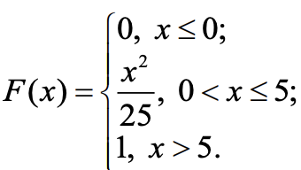
Випадкову величину задано функцією розподілу :

рис

Обчислити її медіану.

0%
0%
0%
0%
View this question

Задана

дискретна випадкова величина:

xi

1

2

3

4

5

pi

0,4

0,1

0,3

0,1

0,1

Обчислити її

дисперсію.

0%
0%
20%
80%
View this question

Задана

дискретна випадкова величина:

xi

1

2

3

4

5

pi

0,4

0,1

0,3

0,1

0,1

Обчислити медіану.

0%
0%
100%
0%
View this question

Want instant access to all verified answers on do.ipo.kpi.ua?

Get Unlimited Answers To Exam Questions - Install Crowdly Extension Now!

Browser

Add to Chrome