logo

Crowdly

Browser

Add to Chrome

Теорія ймовірностей і математична статистика

Looking for Теорія ймовірностей і математична статистика test answers and solutions? Browse our comprehensive collection of verified answers for Теорія ймовірностей і математична статистика at do.ipo.kpi.ua.

Get instant access to accurate answers and detailed explanations for your course questions. Our community-driven platform helps students succeed!

Автомобіль проїжджає 6 світлофорів, кожен з яких дозволяє або не дозволяє подальший рух з ймовірністю 0,5. Обчислити ймовірність того, що автомобіль проїде 5 світлофорів без зупинки.

0%
0%
0%
100%
View this question

Задана

дискретна випадкова величина:

xi

1

2

3

4

5

pi

0,4

0,1

0,3

0,1

0,1

Записати функцію

розподілу для даної випадкової величини.

0%
0%
0%
0%
View this question

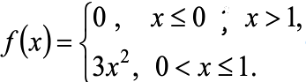
Випадкову величину задано функцією щільності :

рис

Обчислити її дисперсію

0%
0%
0%
0%
View this question

Випадкову величину задано функцією розподілу :

рис

Обчислити її медіану.

0%
0%
0%
0%
View this question
Проводиться 70 підкидань гральної кістки. Потрібно оцінити ймовірність того, що частота випадань трійки відхилиться від ймовірності випадання трійки в одному підкиданні  за абсолютною величиною менше ніж на 0,01 (відповідь заокруглити до десятитисячних):
0%
0%
0%
100%
View this question

Верстат-автомат виготовляє стандартний виріб з імовірністю

0,9. Із продукції верстату складають партію виробів. Скільки виробів

повинен виготовити верстат, щоб з імовірністю 0,9973 можна було

стверджувати, що відхилення відносної частоти появи нестандартного виробу від імовірності буде менше ніж 0,03?

0%
0%
0%
100%
View this question

Гральний кубик підкидають 800 разів. Яка ймовірність того,

що число очок, кратне трьом, випаде не менше ніж 260 і не більше ніж 274 ра

зи?

0%
100%
0%
0%
View this question

Нехай X і Y— незалежні випадкові величини з рівномірним розподілом на відрізку not stretchy left square bracket 0 comma 1 not stretchy right square bracket. Знайдіть математичне сподівання суми Z equals X plus Y.

0%
100%
0%
0%
View this question

Випадкова величина X

рівномірно розподілена на відрізку

[-2;2]. Знайти функцію розподілу випадкової величини Y=X+1.

0%
0%
0%
View this question

Монету

підкидають до першої появи герба. Але максимальна кількість підкидань дорівнює 4

.

Випадкова величина Х – кількість підкидань. Обчислити

математичне сподівання та дисперсію даної випадкової величини

.

100%
0%
0%
0%
View this question

Want instant access to all verified answers on do.ipo.kpi.ua?

Get Unlimited Answers To Exam Questions - Install Crowdly Extension Now!

Browser

Add to Chrome