logo

Crowdly

Browser

Add to Chrome

Теорія ймовірностей і математична статистика

Looking for Теорія ймовірностей і математична статистика test answers and solutions? Browse our comprehensive collection of verified answers for Теорія ймовірностей і математична статистика at do.ipo.kpi.ua.

Get instant access to accurate answers and detailed explanations for your course questions. Our community-driven platform helps students succeed!

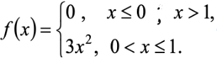
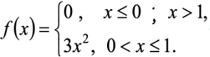
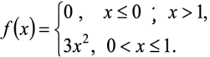
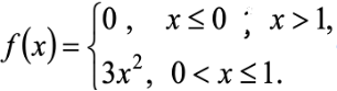
При якому значені параметру А наведена функція буде функцією розподілу неперервної випадкової величини?

ц

0%
100%
0%
0%
0%
View this question

Випадкову величину задано функцією розподілу :

рис

Обчислити її медіану.

0%
0%
0%
0%
View this question

Випадкова величина X задана щільністю розподілупп

Знайти медіану випадкової величини.

0%
0%
0%
0%
View this question

Задана

дискретна випадкова величина:

xi

1

2

3

4

5

pi

0,4

0,1

0,3

0,1

0,1

Обчислити її

дисперсію.

0%
0%
20%
80%
View this question

Брак у продукції цеху з виробу однотипних деталей становить 10%. Для оцінки якості партії деталей контролер навмання вибирає по одній деталі до появи першої бракованої. Знайти середньоквадратичне відхилення випадкової величини Х - кількість вибраних доброякісних виробів, якщо в партії контролер перевіряє не більше 5 деталей.

100%
0%
0%
0%
View this question

Задано випадкову величину Х - числа пакетів акцій, за якими власник отримає прибуток, якщо ймовірність отримання прибутку для кожної акції відповідно дорівнюють: 0,5; 06; 0,7. Обчислити математичне сподівання випадкової величини.

100%
0%
0%
0%
View this question

Задана

дискретна випадкова величина:

xi

1

2

3

4

5

pi

0,4

0,1

0,3

0,1

0,1

Обчислити медіану.

0%
0%
100%
0%
View this question

Випадкову величину задано функцією розподілу :

рис

Обчислити її центральний момент порядку 2.

0%
0%
0%
100%
View this question

У партії з 10 деталей є

8 стандартних. Навмання відібрані дві деталі.

Випадкова

величина Х – кількість стандартних деталей. Обчислити

математичне сподівання та дисперсію даної випадкової величини

.

100%
0%
0%
0%
View this question
З конвеєру відпускається у середньому 85% виробів першого ґатунку. Скільки виробів потрібно взяти, щоб з ймовірністю 0,996 відхилення відносної частоти виробів першого ґатунку від імовірності 0,85 появи цих виробів за модулем не перевищувало 0,01.:
0%
0%
0%
100%
View this question

Want instant access to all verified answers on do.ipo.kpi.ua?

Get Unlimited Answers To Exam Questions - Install Crowdly Extension Now!

Browser

Add to Chrome