logo

Crowdly

Browser

Add to Chrome

Загальна фізика

Looking for Загальна фізика test answers and solutions? Browse our comprehensive collection of verified answers for Загальна фізика at e-learning.lnu.edu.ua.

Get instant access to accurate answers and detailed explanations for your course questions. Our community-driven platform helps students succeed!

Відстань

електрона від ядра атома водню

r = 5×10-10 м. Заряд електрона е = 1,6×10-19 Кл. Визначте силу F

електростатичної взаємодії електрона з

ядром в атомі водню. (

k = 9×109 Н×м2/Кл2).

0%
0%
100%
0%
View this question

Власні

коливання контуру відбуваються за законом

I = 0,01 соs1000t (t

– в секундах). Визначте індуктивність контуру, знаючи, що ємність конденсатора

дорівнює 10 мкФ.

50%
0%
0%
50%
View this question

Вказати, яка відповідь є правильним

закінченням фрази: «Джерелом виникнення магнітного поля є

50%
0%
0%
50%
View this question

Скільки силових ліній може проходити через

точку, розміщену в електростатичному полі?

0%
0%
0%
0%
View this question

Яка

е.р.с. батареї акумуляторів, якщо її внутрішній опір 1 Ом, а струм короткого

замикання 12 А?

33%
0%
67%
0%
View this question

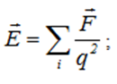
Яка

формула описує принцип суперпозиції в електростатиці?

0%
0%
0%
0%
View this question

Чому

дорівнює індуктивність контуру, якщо при силі струму 2 А у ньому існує

магнітний потік 4 Вб?

0%
0%
100%
0%
View this question

Тіло А

має менший заряд, але вищий потенціал, ніж тіло

В. Тіла з’єднали дротиною. Що зрівнялося – заряди чи потенціали?

0%
0%
0%
100%
View this question

Як змінюється опір напівпровідників з

підвищенням температури?

0%
0%
0%
0%
View this question

Е.р.с.

батарейки рівна 3,5 В, а внутрішній опір – 1,5 Ом. Батарейку замкнули

на опір 16 Ом. Яка напруга на затискачах батарейки?

0%
33%
67%
0%
View this question

Want instant access to all verified answers on e-learning.lnu.edu.ua?

Get Unlimited Answers To Exam Questions - Install Crowdly Extension Now!

Browser

Add to Chrome