logo

Crowdly

Browser

Add to Chrome

Загальна фізика

Looking for Загальна фізика test answers and solutions? Browse our comprehensive collection of verified answers for Загальна фізика at e-learning.lnu.edu.ua.

Get instant access to accurate answers and detailed explanations for your course questions. Our community-driven platform helps students succeed!

Контур

площею 100 см

2

перебуває в однорідному магнітному полі з індукцією 2

Тл. Чому дорівнює магнітний потік, що проходить через контур, якщо площина

контуру паралельна до вектора індукції ?

0%
67%
0%
33%
View this question

Електричне коло складається з джерела струму з

внутрішнім опором 2 Ом і провідника з електричним опором 1 Ом. Сила

струму в цьому колі становить 6 А. Яке значення е.р.с. джерела?

0%
0%
0%
0%
View this question

Які

експериментальні закони лежать в основі електростатики?

0%
0%
0%
100%
View this question

Вкажіть

вираз для модуля сили, що діє на провідник зі струмом у магнітному полі.

0%
0%
100%
0%
View this question

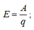
Як вводиться електроємність

провідника як фізична величина?

0%
0%
0%
100%
View this question

Які величини не змінюються

при внесенні діелектрика між пластини конденсатора, якщо конденсатор

під’єднаний до джерела постійного струму?

0%
67%
0%
33%
View this question

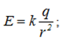
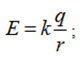
Як вводиться напруженість електричного поля 

 як фізична

величина?

0%
100%
0%
0%
View this question

Визначте

довжину хвилі електромагнітного випромінювання коливального контуру, який

складається з конденсатора

С = 1×10-11 Ф і індуктивності L = 1×10-3 Гн. Прийняти π= 3, с = 3×108 м/c.

0%
67%
0%
33%
View this question

Послідовно

з’єднано

n

однакових опорів. У

скільки разів зміниться опір кола, якщо їх з’єднати паралельно (

R1/R2)?

0%
0%
0%
0%
View this question

Власні

коливання контуру відбуваються за законом

I = 0,03sin(1000t

). Визначте максимальний заряд на

конденсаторі (у мкКл).

0%
0%
0%
0%
View this question

Want instant access to all verified answers on e-learning.lnu.edu.ua?

Get Unlimited Answers To Exam Questions - Install Crowdly Extension Now!

Browser

Add to Chrome