logo

Crowdly

Browser

Add to Chrome

Загальна фізика

Looking for Загальна фізика test answers and solutions? Browse our comprehensive collection of verified answers for Загальна фізика at e-learning.lnu.edu.ua.

Get instant access to accurate answers and detailed explanations for your course questions. Our community-driven platform helps students succeed!

Яка одиниця вимірювання

індуктивності у системі СІ?

100%
0%
0%
0%
View this question

Як

називаються речовини, у яких магнітна проникність є набагато більшою від

одиниці ?

0%
0%
100%
0%
View this question

Які

величини не змінюються при внесенні діелектрика між пластини конденсатора, якщо

конденсатор під’єднаний до джерела постійного струму?

0%
100%
0%
0%
View this question

Який із виразів визначає модуль сили Ампера?

100%
0%
0%
0%
View this question

У скільки разів потрібно

збільшити потужність передавача для збільшення віддалі радіозв’язку у три рази?

0%
0%
0%
100%
View this question

Вкажіть

вираз для модуля сили Лоренца.

0%
100%
0%
0%
View this question

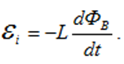
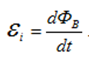
Яка із формул є математичним виразом закону

електромагнітної індукції?

0%
100%
0%
0%
View this question

Електрично

нейтральна водяна крапля поділилась на дві. Перша з них в процесі поділу

отримала заряд +

q

. Який заряд другої

краплі?

0%
0%
0%
0%
View this question

Елемент

із внутрішнім опором 4 Ом і е.р.с. 12 В замкнутий на опір 8 Ом.

Яка кількість теплоти виділяється в зовнішньому колі за 1 с?

0%
0%
33%
67%
View this question

Що таке електричний струм?

100%
0%
0%
0%
View this question

Want instant access to all verified answers on e-learning.lnu.edu.ua?

Get Unlimited Answers To Exam Questions - Install Crowdly Extension Now!

Browser

Add to Chrome