logo

Crowdly

Browser

Add to Chrome

Загальна фізика

Looking for Загальна фізика test answers and solutions? Browse our comprehensive collection of verified answers for Загальна фізика at e-learning.lnu.edu.ua.

Get instant access to accurate answers and detailed explanations for your course questions. Our community-driven platform helps students succeed!

Які речовини називаються парамагнетиками?

100%
0%
0%
0%
View this question

Які речовини називаються

діамагнетиками?

60%
0%
0%
0%
View this question

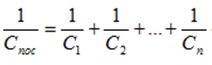
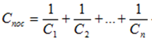
Яке із виразів визначає ємність послідовно з’єднаних конденсаторів?

0%
0%
0%
0%
View this question

Від яких факторів залежить електроємність відокремленого провідника?

33%
67%
0%
0%
View this question

Який напрям має вектор сили 

, що діє з боку магнітного поля на рухомий позитивний

електричний заряд, якщо напрям вектора швидкості заряду 

 перпендикулярний до напрямку 

 індукції

магнітного поля?

0%
0%
0%
0%
View this question

Скільки силових

ліній може проходити через точку,

розміщену в електростатичному полі?

50%
0%
50%
0%
View this question

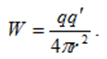
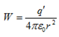
Яка із

наведених формул визначає потенціальну енергію заряду

q

, що

перебуває на відстані

r від заряду q?

0%
0%
0%
0%
View this question

Лампу

розжарення, розраховану на напругу 220 В, вмикають у мережу з напругою

110 В. У скільки разів потужність лампи буде меншою від номінальної?

0%
0%
100%
0%
View this question

Визначте індукцію В магнітного поля (в мТл) у точці, що перебуває на відстані r = 1 см від провідника, якщо сила струму I = 2 А. (μ0 = 4π×10-7 Гн/м).

100%
0%
0%
0%
View this question

Який опір має 200-ватна

лампа розжарювання, ввімкнена в мережу з напругою 220 В?

25%
75%
0%
0%
View this question

Want instant access to all verified answers on e-learning.lnu.edu.ua?

Get Unlimited Answers To Exam Questions - Install Crowdly Extension Now!

Browser

Add to Chrome