logo

Crowdly

Browser

Add to Chrome

Комп'ютерна логіка

Looking for Комп'ютерна логіка test answers and solutions? Browse our comprehensive collection of verified answers for Комп'ютерна логіка at learn.ztu.edu.ua.

Get instant access to accurate answers and detailed explanations for your course questions. Our community-driven platform helps students succeed!

В який стан встановиться RS-тригер із прямими входами при надходження на його входи комбінації 11?

0%
0%
100%
0%
0%
View this question

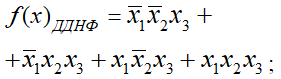
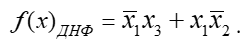
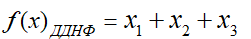
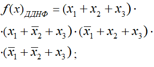
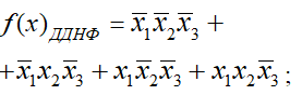
Логічна функція трьох змінних задана рядком своїх значень (у порядку зростання номера набору): f(x)=01010101. Записати цю функцію в досконалій диз’юнктивній нормальній формі (ДДНФ).

0%
0%
0%
0%
0%
View this question

Знайти доповняльний код суми чисел А=–0,11001 і В=0,10111:

0%
0%
0%
100%
View this question

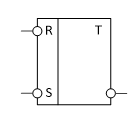
Графічне зображення RS-тригера виглядає так:

Даний тригер встановлюється в одиничний стан із надходженням

0%
0%
0%
100%
0%
View this question

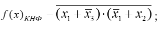
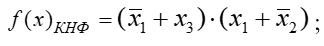
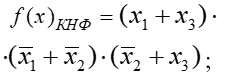
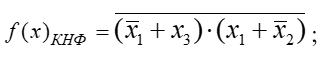
Логічна функція записана в диз’юнктивній нормальній формі (ДНФ):

 

Перейти до кон’юнктивної нормальної форми

0%
0%
0%
0%
100%
View this question

Правило повторення для випадку логічного додавання формулюється так

0%
0%
0%
0%
0%
View this question

Якому з перерахованих тригерів відповідає така таблиця переходів:

Стан тригера

Вхідні сигнали

00

01

10

11

0

0

0

1

1

1

1

0

1

0

 

0%
0%
100%
0%
0%
View this question

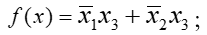
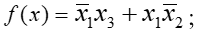
Спростити вираз, використовуючи основні правила булевої алгебри:

100%
0%
0%
0%
0%
View this question

Правило доповняльності для випадку логічного додавання формулюється так

0%
0%
0%
0%
0%
View this question

Для якої системи числення (з основою q2=x) є справедливою рівність 12110=441x:

0%
100%
0%
0%
View this question

Want instant access to all verified answers on learn.ztu.edu.ua?

Get Unlimited Answers To Exam Questions - Install Crowdly Extension Now!

Browser

Add to Chrome