logo

Crowdly

Browser

Add to Chrome

Комп'ютерна логіка

Looking for Комп'ютерна логіка test answers and solutions? Browse our comprehensive collection of verified answers for Комп'ютерна логіка at learn.ztu.edu.ua.

Get instant access to accurate answers and detailed explanations for your course questions. Our community-driven platform helps students succeed!

Визначити номер набору, якщо булеві змінні прийняли такі значення: х1=1, х2=0, х3=1, х4=1

0%
0%
0%
0%
0%
View this question

Ознакою переповнення розрядної сітки при додаванні чисел однакового знаку, представлених у формі з фіксованою комою в оберненому коді є:

0%
100%
0%
0%
View this question

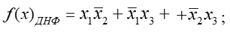
Логічна функція записана в кон’юнктивній нормальній формі (КНФ):

 

Перейти до диз’юнктивної нормальної форми.

0%
0%
0%
0%
0%
View this question

Правило склеювання для випадку логічного додавання формулюється так

0%
0%
100%
0%
0%
View this question

Визначити кількість вихідних каналів автомата, якщо потужність його вихідного алфавіту дорівнює 4

0%
100%
0%
0%
0%
View this question

Записати зображення числа А=–0,101010 у доповняльному коді:

0%
100%
0%
0%
View this question

Записати зображення числа А=–0,101010 у оберненому коді:

100%
0%
0%
0%
View this question

Записати зображення числа В=0,100010 у прямому коді:

0%
0%
0%
100%
View this question

Правило виконання операції з константою 0 для випадку логічного додавання формулюється так

100%
0%
0%
0%
0%
View this question

Записати зображення числа В=0,100010 у оберненому коді:

0%
0%
0%
100%
View this question

Want instant access to all verified answers on learn.ztu.edu.ua?

Get Unlimited Answers To Exam Questions - Install Crowdly Extension Now!

Browser

Add to Chrome