logo

Crowdly

Browser

Add to Chrome

Комп'ютерна логіка

Looking for Комп'ютерна логіка test answers and solutions? Browse our comprehensive collection of verified answers for Комп'ютерна логіка at learn.ztu.edu.ua.

Get instant access to accurate answers and detailed explanations for your course questions. Our community-driven platform helps students succeed!

Таблиця виходів абстрактного цифрового автомата має такий вигляд:

Стани

Вих. cигн.

q1

y1

q2

-

q3

y2

q4

y3

Яким є автомат?

0%
100%
0%
0%
0%
View this question

Правило виконання операції з константою 1 для випадку логічного додавання формулюється так

0%
0%
0%
0%
0%
View this question

Перевести двійкове число А2=10001010111,01 у десяткову систему числення:

0%
0%
100%
0%
View this question

Довільний абстрактний цифровий автомат із пам’яттю описується у вигляді:

 

Тоді мінімальна кількість фізично реалізованих вхідних каналів структурного автомата визначається так

 

 

Довільний абстрактний цифровий автомат із пам’яттю описується у вигляді:

Image failed to load
.

Тоді мінімальна кількість фізично реалізованих вхідних каналів структурного автомата визначається так

100%
0%
0%
0%
0%
View this question

Знайти прямий код суми чисел А= –0,0101 і В=–0,1001:

0%
0%
100%
0%
View this question

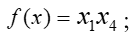
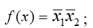
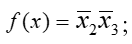
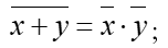
Правило інверсії для випадку логічного додавання формулюється так

0%
100%
0%
0%
0%
View this question

Перевести вісімкове число A8=345,766 у двійкову систему числення:

0%
0%
100%
0%
View this question

Логічна функція чотирьох змінних задана картою Карно:

 

Виконати мінімізацію цієї функції

100%
0%
0%
0%
0%
View this question

Скільки потрібно двійкових розрядів для зображення десяткового числа A10=793:

0%
100%
0%
0%
View this question

Знайти обернений код суми чисел А=0,11110 і В=–0,10110:

0%
0%
0%
100%
View this question

Want instant access to all verified answers on learn.ztu.edu.ua?

Get Unlimited Answers To Exam Questions - Install Crowdly Extension Now!

Browser

Add to Chrome