logo

Crowdly

Browser

Add to Chrome

Комп'ютерна логіка

Looking for Комп'ютерна логіка test answers and solutions? Browse our comprehensive collection of verified answers for Комп'ютерна логіка at learn.ztu.edu.ua.

Get instant access to accurate answers and detailed explanations for your course questions. Our community-driven platform helps students succeed!

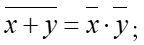
Теорема де Моргана для випадку логічного додавання формулюється так

0%
0%
0%
0%
100%
View this question

Функція виходів  автомата Мілі задає відображення

100%
0%
0%
0%
0%
View this question

Перевести десяткове число A10=121 у двійкову систему числення:

0%
0%
0%
100%
View this question

Визначити масштабний коефіцієнт для чисел А2=–10110,111010001 і В2=0,00111000110001 за умови, що машинне зображення числа вміщує десять двійкових розрядів зі знаком:

0%
0%
0%
0%
View this question

Визначити кількість двійкових наборів, якщо кількість двійкових (булевих) змінних дорівнює n

100%
0%
0%
0%
0%
View this question

Ознакою переповнення розрядної сітки при додаванні чисел однакового знаку, представлених у формі з фіксованою комою, в прямому коді є:

0%
0%
0%
0%
View this question

Таблиця переходів тригера має такий вигляд:

Стан тригера

Вхідний сигнал

0

1

0

0

1

1

1

0

Якому з перерахованих тригерів вона відповідає?

0%
100%
0%
0%
0%
View this question

Визначити кількість булевих логічних функцій, якщо кількість булевих змінних дорівнює n

0%
0%
0%
0%
100%
View this question

Перевести двійкове число А2=11010110,11110001 у шістнадцяткову систему числення:

0%
0%
0%
0%
View this question

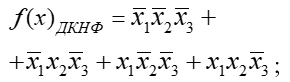
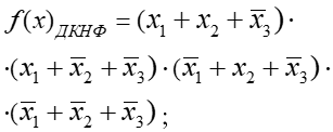
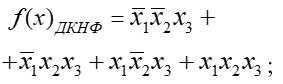
Логічна функція трьох змінних задана рядком своїх значень (у порядку зростання номера набору): f(x)=01010101. Записати цю функцію в досконалій кон’юнктивній нормальній формі (ДКНФ).

0%
100%
0%
0%
0%
View this question

Want instant access to all verified answers on learn.ztu.edu.ua?

Get Unlimited Answers To Exam Questions - Install Crowdly Extension Now!

Browser

Add to Chrome