logo

Crowdly

Browser

Add to Chrome

(ALT) Traitement du signal (MAEISI360124)

Looking for (ALT) Traitement du signal (MAEISI360124) test answers and solutions? Browse our comprehensive collection of verified answers for (ALT) Traitement du signal (MAEISI360124) at learning.devinci.fr.

Get instant access to accurate answers and detailed explanations for your course questions. Our community-driven platform helps students succeed!

un filtre a pour fonction de transfert :

Les pôles de ce filtre sont:

0%
0%
0%
0%
View this question

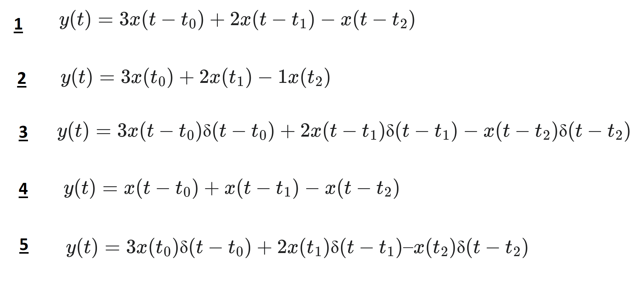
Un signal x(t) est filtré par un filtre de réponse

impulsionnelle h(t) :

h(t)=3δ(t-t0) + 2δ(tt1 ) δ(tt2)

Choisir parmi ces réponses la réponse du filtre :

0%
0%
0%
0%
0%
0%
View this question

Soit le signal  :

La transformée en Z de x(n-1) est: 

0%
0%
0%
0%
View this question

Soit le filtre numérique dont le diagramme des pôles-zéros est donné par :

On considère que le numérateur de sa fonction de transfert ne présente pas

de partie constante.

View this question

Le signal x(t) est sous échantillonné à la fréquence 30 HZ car on ne souhaite garder que la fréquence à 20 Hz. Peut-on reconstituer le signal ? La réponse à cette question sera seulement oui ou non.

View this question

Donnez l'expression mathématique de ce signal dans le domaine fréquentiel

 pour

T=1s.

View this question

on considère le filtre donné par l'équation

Donnez sa fonction de transfert et sa réponse indicielle.

View this question

Cela représente un filtre récursif 

0%
0%
View this question

Pour le filtre donné par l'équation aux différences suivante: ,on peut affirmer vraie chacune des propositions suivantes :

0%
0%
0%
0%
0%
View this question

Représentez l’équivalent numérique de ce signal et donnez

son expression mathématique pour T=6s.

View this question

Want instant access to all verified answers on learning.devinci.fr?

Get Unlimited Answers To Exam Questions - Install Crowdly Extension Now!

Browser

Add to Chrome