logo

Crowdly

Browser

Add to Chrome

(ALT) Traitement du signal (MAEISI360124)

Looking for (ALT) Traitement du signal (MAEISI360124) test answers and solutions? Browse our comprehensive collection of verified answers for (ALT) Traitement du signal (MAEISI360124) at learning.devinci.fr.

Get instant access to accurate answers and detailed explanations for your course questions. Our community-driven platform helps students succeed!

Donnez la transformée en Z du signal suivant :

0%
0%
0%
0%
0%
View this question

On injecte en entrée du circuit suivant :

un signal e(t):

Sur le spectre du signal de sortie :

0%
0%
0%
0%
View this question

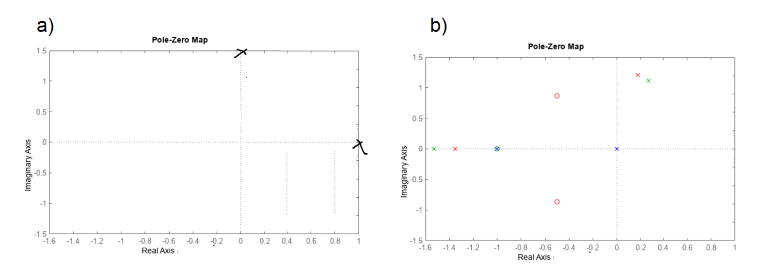
Soient les diagrammes suivants chacun relatif à un filtre numérique  :

On peut dire que  :

0%
0%
0%
0%
View this question

on considère le filtre donné par l'équation

Donnez sa fonction de transfert et sa réponse indicielle.

View this question

On peut affirmer que ce filtre:

est un filtre RII.

100%
0%
View this question

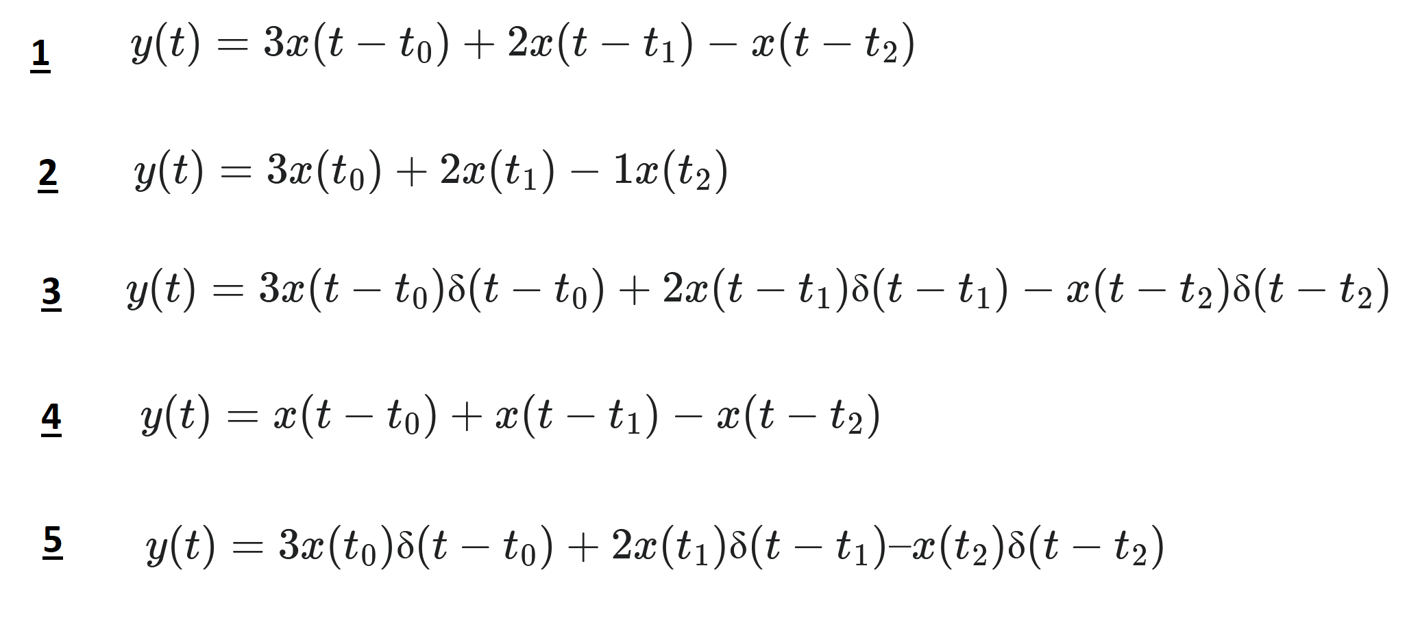
Un signal x(t) est filtré par un filtre de réponse

impulsionnelle h(t) :

h(t)=3δ(t-t0) + 2δ(tt1 ) δ(tt2)

Choisir parmi ces réponses la réponse du filtre :

0%
0%
100%
0%
0%
0%
View this question

Soit la fonction de transfert d'un filtre numérique :

son équation aux différences de ce filtre est donnée par:

0%
0%
0%
0%
View this question

Ce signal x(t) :

Capture4.PNG
0%
100%
0%
0%
View this question

Le signal suivant est échantillonné à la fréquence 55HZ, quelle est la

fréquence  de la première raie indésirable

? Pour la réponse, il suffit de mettre le nombre sans rien ajouter d'autre.

View this question

 on considère le signal x(t) à support borné sur [-1 3]. x(t) est représenté par la figure suivante:

La transformée de Fourier de x(t) est X(f). Sans calculer explicitement X(f), la valeur de X(f) pour f=0: X(0) est

0%
0%
0%
0%
0%
0%
0%
View this question

Want instant access to all verified answers on learning.devinci.fr?

Get Unlimited Answers To Exam Questions - Install Crowdly Extension Now!

Browser

Add to Chrome