logo

Crowdly

Browser

Add to Chrome

(ALT) Traitement du signal (MAEISI360124)

Looking for (ALT) Traitement du signal (MAEISI360124) test answers and solutions? Browse our comprehensive collection of verified answers for (ALT) Traitement du signal (MAEISI360124) at learning.devinci.fr.

Get instant access to accurate answers and detailed explanations for your course questions. Our community-driven platform helps students succeed!

Donnez la transformée en Z du signal suivant :

0%
0%
0%
100%
0%
View this question

On peut affirmer que ce filtre:

est un filtre RII.

0%
0%
View this question

 on considère le signal x(t) à support borné sur [-1 3]. x(t) est représenté par la figure suivante:

La transformée de Fourier de x(t) est X(f). Sans calculer explicitement X(f), la valeur de X(f) pour f=0: X(0) est

100%
0%
0%
0%
0%
0%
0%
View this question

Donnez l'expression mathématique de ce signal dans le domaine fréquentiel

 pour

T=1s.

View this question

on considère le filtre donné par l'équation aux différences suivante:

On peut affirmer que ce filtre de type

0%
0%
0%
0%
0%
0%
View this question

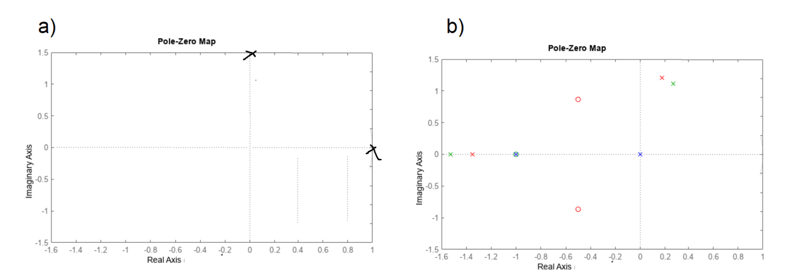
Soient les diagrammes suivants chacun relatif à un filtre numérique  :

On peut dire que  :

0%
0%
0%
0%
View this question

Cela représente un filtre récursif 

100%
0%
View this question

Ce signal x(t) :

Capture4.PNG
100%
0%
0%
0%
View this question

Pour le filtre donné par l'équation aux différences suivante: ,on peut affirmer vraie chacune des propositions suivantes :

0%
0%
0%
100%
0%
View this question

Soit le signal  :

La transformée en Z de x(n-1) est: 

100%
0%
0%
0%
View this question

Want instant access to all verified answers on learning.devinci.fr?

Get Unlimited Answers To Exam Questions - Install Crowdly Extension Now!

Browser

Add to Chrome