logo

Crowdly

Browser

Add to Chrome

(ALT) Traitement du signal (MAEISI360124)

Looking for (ALT) Traitement du signal (MAEISI360124) test answers and solutions? Browse our comprehensive collection of verified answers for (ALT) Traitement du signal (MAEISI360124) at learning.devinci.fr.

Get instant access to accurate answers and detailed explanations for your course questions. Our community-driven platform helps students succeed!

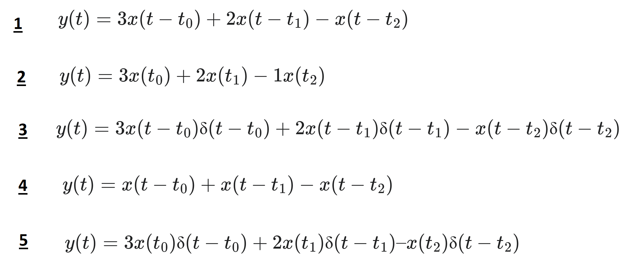
Un signal x(t) est filtré par un filtre de réponse

impulsionnelle h(t) :

h(t)=3δ(t-t0) + 2δ(tt1 ) δ(tt2)

Choisir parmi ces réponses la réponse du filtre :

0%
0%
100%
0%
0%
0%
View this question

Donnez la transformée en Z du signal suivant :

100%
0%
0%
0%
0%
View this question

Donnez l'expression mathématique de ce signal dans le domaine fréquentiel

 pour

T=1s.

View this question

Soit le signal  :

La transformée en Z de x(n-1) est: 

0%
0%
0%
0%
View this question

On injecte en entrée du circuit suivant :

un signal e(t):

Sur le spectre du signal de sortie :

0%
0%
0%
0%
View this question

L'expression mathématique :

 

vaut :

0%
100%
0%
0%
View this question

Le signal x(t) est sous échantillonné à la fréquence 30 HZ car on ne souhaite garder que la fréquence à 20 Hz. Peut-on reconstituer le signal ? La réponse à cette question sera seulement oui ou non.

View this question

Cela représente un filtre récursif 

0%
0%
View this question

 on considère le signal x(t) à support borné sur [-1 3]. x(t) est représenté par la figure suivante:

La transformée de Fourier de x(t) est X(f). Sans calculer explicitement X(f), la valeur de X(f) pour f=0: X(0) est

0%
0%
0%
0%
0%
0%
100%
View this question

Soit la fonction de transfert d'un filtre numérique :

son équation aux différences de ce filtre est donnée par:

100%
0%
0%
0%
View this question

Want instant access to all verified answers on learning.devinci.fr?

Get Unlimited Answers To Exam Questions - Install Crowdly Extension Now!

Browser

Add to Chrome