logo

Crowdly

Browser

Add to Chrome

(ALT) Traitement du signal (MAEISI360124)

Looking for (ALT) Traitement du signal (MAEISI360124) test answers and solutions? Browse our comprehensive collection of verified answers for (ALT) Traitement du signal (MAEISI360124) at learning.devinci.fr.

Get instant access to accurate answers and detailed explanations for your course questions. Our community-driven platform helps students succeed!

Soit le signal  :

La transformée en Z de x(n-1) est: 

100%
0%
0%
0%
View this question

On peut affirmer que ce signal est périodique

100%
0%
View this question

Ce signal x(t) :

Capture4.PNG
100%
100%
0%
0%
View this question

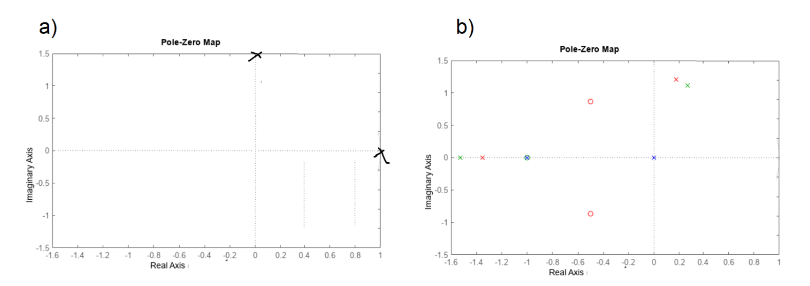
Soient les diagrammes suivants chacun relatif à un filtre numérique  :

On peut dire que  :

0%
0%
0%
0%
View this question

Pour le filtre donné par l'équation aux différences suivante: ,on peut affirmer vraie chacune des propositions suivantes :

0%
0%
0%
0%
0%
View this question

on considère le filtre donné par l'équation

Donnez sa fonction de transfert et sa réponse indicielle.

View this question

Un signal x(t) est filtré par un filtre de réponse impulsionnelle h(t).

h(t)=3δ(t) + 2δ(tt1 ) δ(tt2)

x(t) est donné par :

Avec:  t1=2T   et t2=4T

y(t) est donné par :

100%
0%
0%
0%
View this question

On peut affirmer que le filtre défini par la fonction de transfert :

n'est pas causal.

0%
0%
View this question

On injecte en entrée du circuit suivant :

un signal e(t):

Sur le spectre du signal de sortie :

100%
0%
0%
0%
View this question

Donnez la transformée en Z du signal suivant :

0%
0%
0%
0%
0%
View this question

Want instant access to all verified answers on learning.devinci.fr?

Get Unlimited Answers To Exam Questions - Install Crowdly Extension Now!

Browser

Add to Chrome