logo

Crowdly

Browser

Add to Chrome

(ALT) Traitement du signal (MAEISI360124)

Looking for (ALT) Traitement du signal (MAEISI360124) test answers and solutions? Browse our comprehensive collection of verified answers for (ALT) Traitement du signal (MAEISI360124) at learning.devinci.fr.

Get instant access to accurate answers and detailed explanations for your course questions. Our community-driven platform helps students succeed!

Soient les diagrammes suivants chacun relatif à un filtre numérique  :

On peut dire que  :

0%
0%
0%
0%
View this question

Un signal x(t) est filtré par un filtre de réponse

impulsionnelle h(t).

On peut affirmer que:

0%
0%
0%
0%
View this question

L'expression mathématique :

 

vaut :

0%
0%
0%
0%
View this question

On peut dire du filtre numérique caractérisé par l’équation de récurrence :

100%
100%
100%
View this question

On peut affirmer que ce filtre:

est un filtre RII.

0%
0%
View this question

On peut affirmer que le filtre défini par la fonction de transfert :

n'est pas causal.

0%
100%
View this question

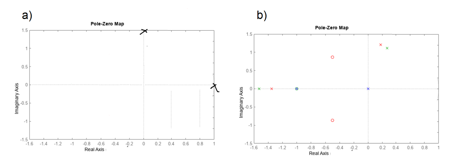
Soit le filtre numérique dont le diagramme des pôles-zéros est donné par :

On considère que le numérateur de sa fonction de transfert ne présente pas

de partie constante.

On considère que le numérateur de sa fonction de transfert ne présente pas

de partie constante.

Le filtre est stable.

.

0%
0%
View this question

Soit la fonction de transfert d'un filtre numérique :

son équation aux différences de ce filtre est donnée par:

100%
0%
0%
0%
View this question

Un signal x(t) est filtré par un filtre de réponse impulsionnelle h(t).

h(t)=3δ(t) + 2δ(tt1 ) δ(tt2)

x(t) est donné par :

Avec:  t1=2T   et t2=4T

y(t) est donné par :

0%
100%
0%
0%
View this question

Soit le filtre numérique dont le diagramme des pôles-zéros est donné par :

On considère que le numérateur de sa fonction de transfert ne présente pas

de partie constante.

View this question

Want instant access to all verified answers on learning.devinci.fr?

Get Unlimited Answers To Exam Questions - Install Crowdly Extension Now!

Browser

Add to Chrome