logo

Crowdly

Browser

Add to Chrome

(ALT) Traitement du signal (MAEISI360124)

Looking for (ALT) Traitement du signal (MAEISI360124) test answers and solutions? Browse our comprehensive collection of verified answers for (ALT) Traitement du signal (MAEISI360124) at learning.devinci.fr.

Get instant access to accurate answers and detailed explanations for your course questions. Our community-driven platform helps students succeed!

Soit le signal  :

La transformée en Z de x(n-1) est: 

0%
0%
0%
100%
View this question

on considère le filtre donné par l'équation aux différences suivante:

On peut affirmer que ce filtre de type

0%
0%
100%
0%
0%
0%
View this question

un filtre a pour fonction de transfert :

Les pôles de ce filtre sont:

0%
0%
0%
0%
View this question

On injecte en entrée du circuit suivant :

un signal e(t):

Sur le spectre du signal de sortie :

0%
0%
0%
0%
View this question

Un signal analogique x(t) dont le spectre est représenté ci-dessous est

échantillonné avec 3 fréquences fe différentes :  7,5 KHz        10 KHz 

  et  15 KHz

0%
100%
0%
View this question

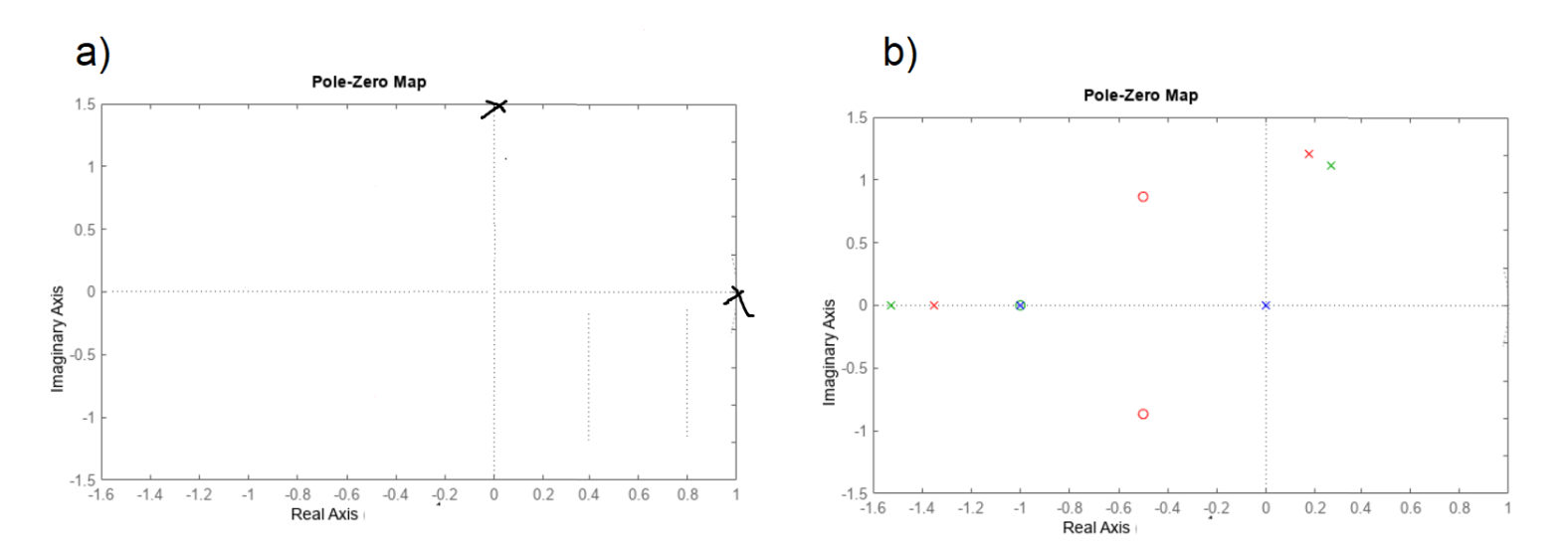
Soient les diagrammes suivants chacun relatif à un filtre numérique  :

On peut dire que  :

0%
0%
0%
0%
View this question

Représentez l’équivalent numérique de ce signal et donnez

son expression mathématique pour T=6s.

View this question

On peut affirmer que ce filtre:

est un filtre RII.

0%
0%
View this question

Donnez la transformée en Z du signal suivant :

0%
0%
0%
0%
0%
View this question

Un signal analogique x(t) dont le spectre est représenté ci-dessous est

échantillonné avec 3 fréquences fe différentes :  7,5 KHz        10 KHz 

  et  15 KHz

0%
0%
100%
View this question

Want instant access to all verified answers on learning.devinci.fr?

Get Unlimited Answers To Exam Questions - Install Crowdly Extension Now!

Browser

Add to Chrome