logo

Crowdly

Browser

Add to Chrome

(ALT) Traitement du signal (MAEISI360124)

Looking for (ALT) Traitement du signal (MAEISI360124) test answers and solutions? Browse our comprehensive collection of verified answers for (ALT) Traitement du signal (MAEISI360124) at learning.devinci.fr.

Get instant access to accurate answers and detailed explanations for your course questions. Our community-driven platform helps students succeed!

Le signal suivant est échantillonné à la fréquence 55HZ, quelle est la

fréquence  de la première raie indésirable

? Pour la réponse, il suffit de mettre le nombre sans rien ajouter d'autre.

View this question

Un filtre dont la fonction de transfert est :

0%
0%
0%
0%
View this question

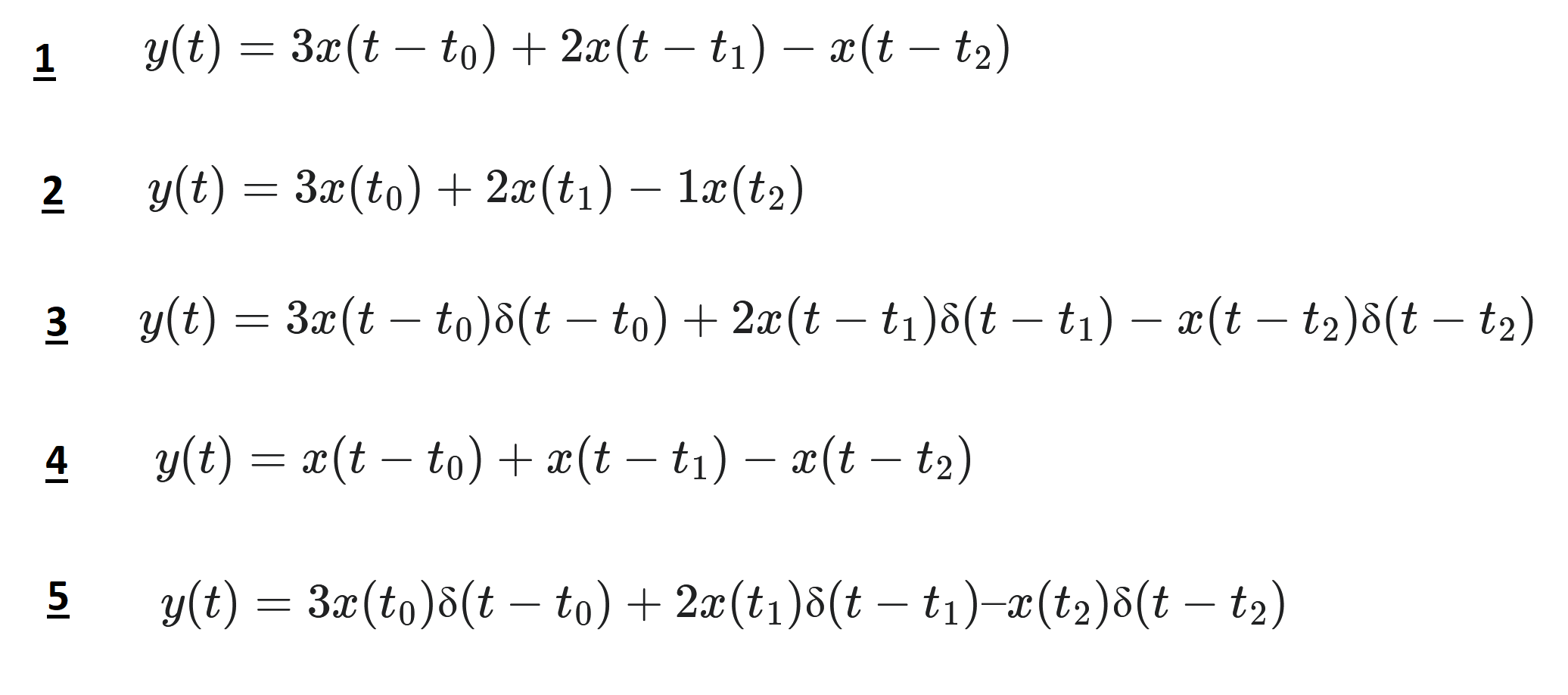
Un signal x(t) est filtré par un filtre de réponse

impulsionnelle h(t) :

h(t)=3δ(t-t0) + 2δ(tt1 ) δ(tt2)

Choisir parmi ces réponses la réponse du filtre :

0%
0%
0%
0%
0%
0%
View this question

On peut affirmer que le filtre défini par la fonction de transfert :

n'est pas causal.

0%
0%
View this question

 on considère le signal x(t) à support borné sur [-1 3]. x(t) est représenté par la figure suivante:

La transformée de Fourier de x(t) est X(f). Sans calculer explicitement X(f), la valeur de X(f) pour f=0: X(0) est

0%
0%
0%
0%
0%
0%
0%
View this question

On injecte en entrée du circuit suivant :

un signal e(t):

Sur le spectre du signal de sortie :

0%
0%
0%
0%
View this question

Pour le filtre donné par l'équation aux différences suivante: ,on peut affirmer vraie chacune des propositions suivantes :

0%
0%
0%
0%
0%
View this question

On peut dire du filtre numérique caractérisé par l’équation de récurrence :

0%
0%
0%
View this question

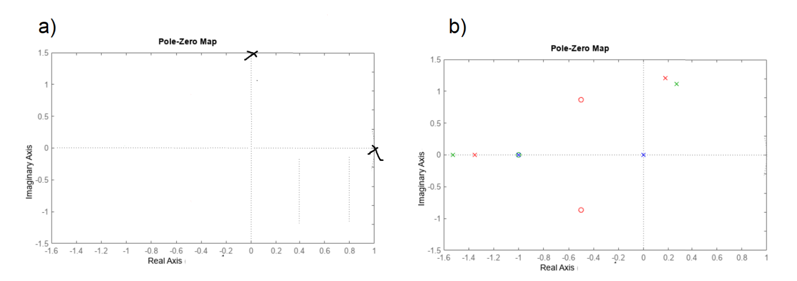
Soit le filtre numérique dont le diagramme des pôles-zéros est donné par :

On considère que le numérateur de sa fonction de transfert ne présente pas

de partie constante.

On considère que le numérateur de sa fonction de transfert ne présente pas

de partie constante.

Le filtre est stable.

.

0%
0%
View this question

Soient les diagrammes suivants chacun relatif à un filtre numérique  :

On peut dire que  :

0%
0%
0%
0%
View this question

Want instant access to all verified answers on learning.devinci.fr?

Get Unlimited Answers To Exam Questions - Install Crowdly Extension Now!

Browser

Add to Chrome