logo

Crowdly

Browser

Add to Chrome

(ALT) Traitement du signal (MAEISI360124)

Looking for (ALT) Traitement du signal (MAEISI360124) test answers and solutions? Browse our comprehensive collection of verified answers for (ALT) Traitement du signal (MAEISI360124) at learning.devinci.fr.

Get instant access to accurate answers and detailed explanations for your course questions. Our community-driven platform helps students succeed!

On peut affirmer que le filtre défini par la fonction de transfert :

n'est pas causal.

0%
0%
View this question

Donnez l'expression mathématique de ce signal dans le domaine fréquentiel

 pour

T=1s.

View this question

On peut affirmer que ce filtre:

est un filtre RII.

100%
0%
View this question

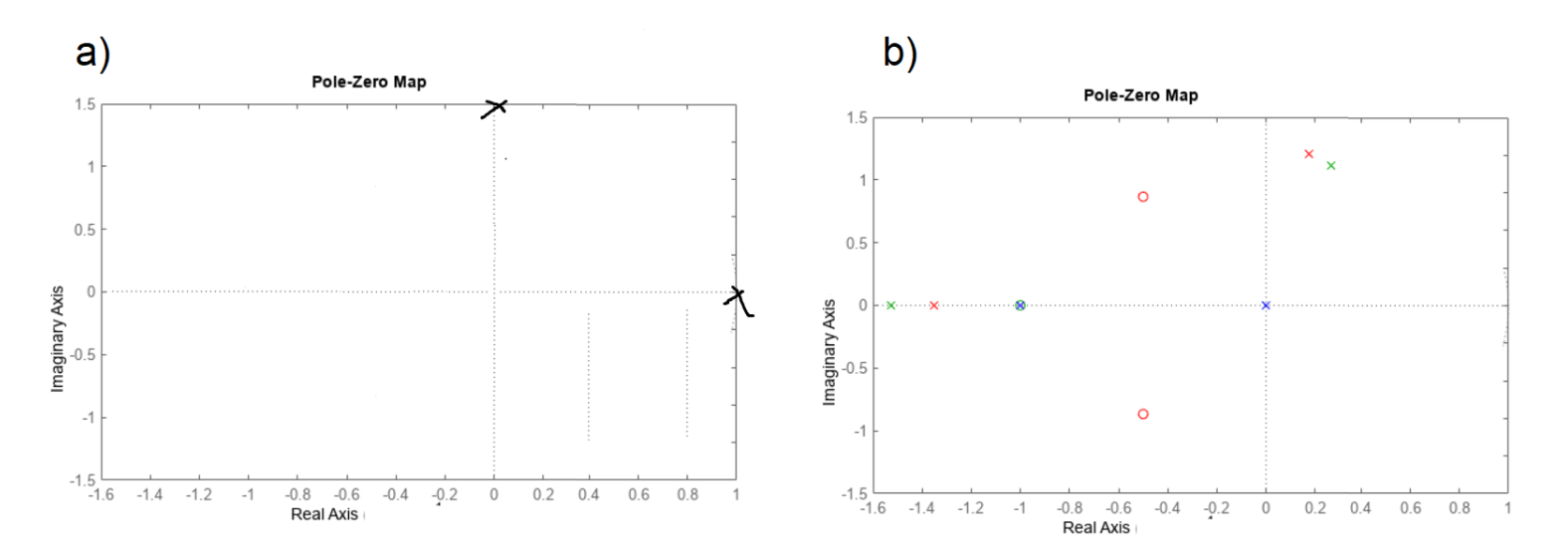
Soient les diagrammes suivants chacun relatif à un filtre numérique  :

On peut dire que  :

0%
0%
0%
0%
View this question

Ce signal x(t) :

Capture4.PNG
0%
0%
0%
0%
View this question

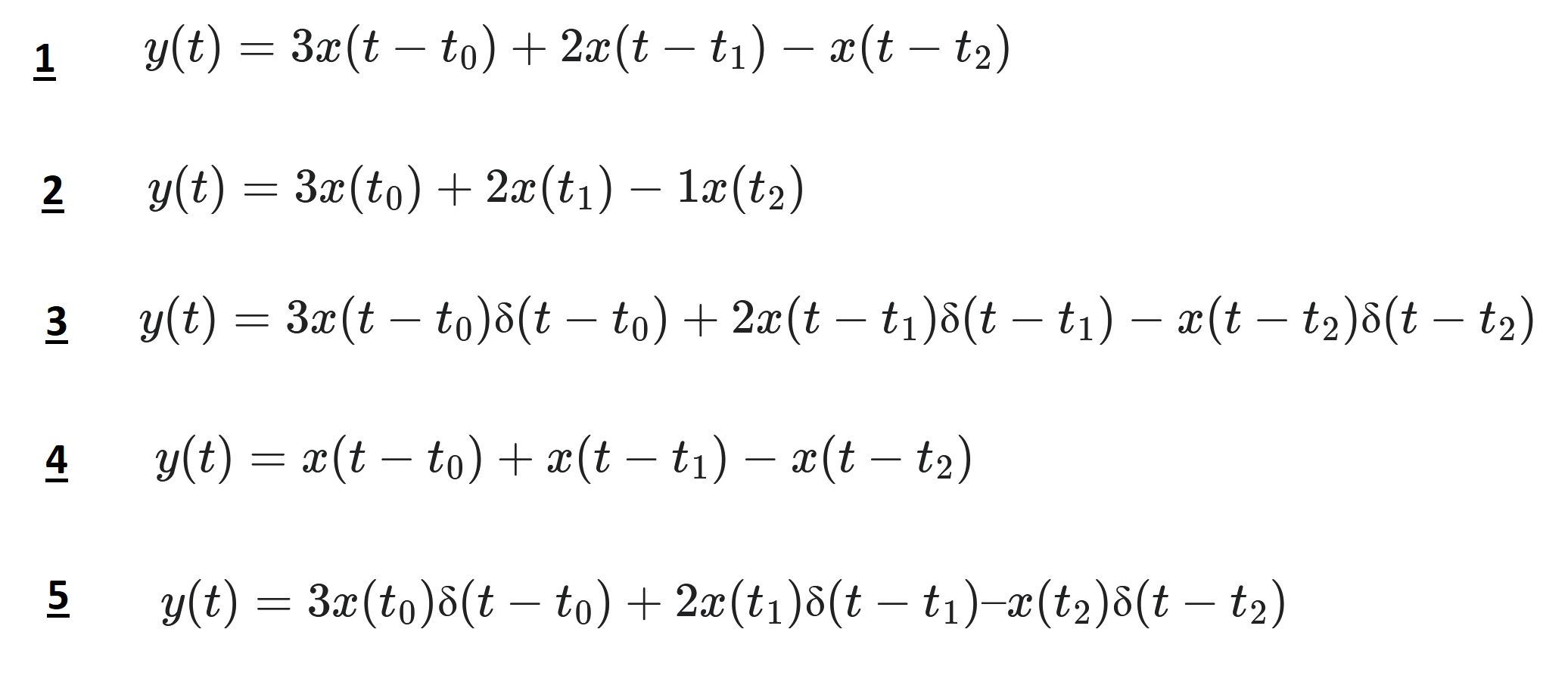
Un signal x(t) est filtré par un filtre de réponse

impulsionnelle h(t) :

h(t)=3δ(t-t0) + 2δ(tt1 ) δ(tt2)

Choisir parmi ces réponses la réponse du filtre :

0%
0%
100%
0%
0%
0%
View this question

Soit le filtre numérique défini par l'équation :

La fonction de transfert de ce filtre vaut :

0%
0%
0%
100%
View this question

On peut affirmer que ce signal est périodique

100%
0%
View this question

Le signal suivant est échantillonné à la fréquence 55HZ, quelle est la

fréquence  de la première raie indésirable

? Pour la réponse, il suffit de mettre le nombre sans rien ajouter d'autre.

View this question

Un filtre dont la fonction de transfert est :

0%
0%
0%
0%
View this question

Want instant access to all verified answers on learning.devinci.fr?

Get Unlimited Answers To Exam Questions - Install Crowdly Extension Now!

Browser

Add to Chrome