logo

Crowdly

Browser

Add to Chrome

Вища математика 1ЕЛ (Весняний семестр)

Looking for Вища математика 1ЕЛ (Весняний семестр) test answers and solutions? Browse our comprehensive collection of verified answers for Вища математика 1ЕЛ (Весняний семестр) at mdl.kntu.net.ua.

Get instant access to accurate answers and detailed explanations for your course questions. Our community-driven platform helps students succeed!

Знайти невизначений інтеграл
0%
0%
0%
0%
100%
View this question

View this question

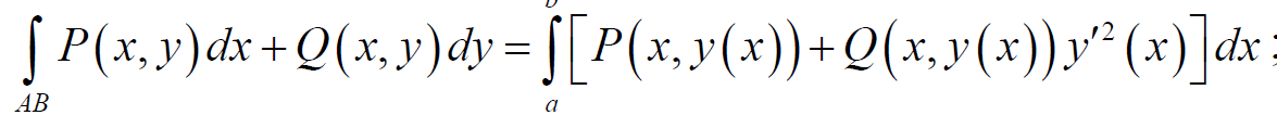
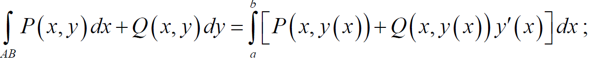
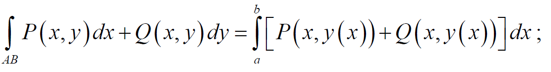
Результат інтегрування перевіряється за

допомогою операції:

100%
0%
0%
0%
View this question
Однорідним диференціальним рівнянням другого порядку являється....
0%
100%
0%
0%
View this question
Визначте правильну структуру частинного розв'язку рівняння
0%
0%
0%
0%
View this question
Якщо , то градієнт в точці дорівнює
100%
0%
0%
0%
View this question

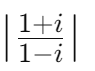
Обчислити 

View this question
Визначте правильну структуру частинного розв'язку рівняння
0%
0%
0%
100%
View this question

У яких прикладних задачах доцільно використовувати подвійний інтеграл?

(Оберіть усі правильні варіанти)

0%
0%
0%
0%
View this question

0%
0%
0%
100%
View this question

Want instant access to all verified answers on mdl.kntu.net.ua?

Get Unlimited Answers To Exam Questions - Install Crowdly Extension Now!

Browser

Add to Chrome