logo

Crowdly

Browser

Add to Chrome

Вища математика 1ЕЛ (Весняний семестр)

Looking for Вища математика 1ЕЛ (Весняний семестр) test answers and solutions? Browse our comprehensive collection of verified answers for Вища математика 1ЕЛ (Весняний семестр) at mdl.kntu.net.ua.

Get instant access to accurate answers and detailed explanations for your course questions. Our community-driven platform helps students succeed!

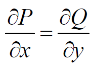
Для неперервної на відрізку [ab ]  функції f укажіть правдиві твердження.

0%
100%
0%
0%
View this question

0%
0%
0%
0%
View this question
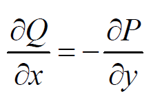
Однорідне рівняння y′ = f(x,y) інтегрується за допомогою заміни:
0%
0%
0%
100%
View this question

Відповідь наводиться десятковим дробом.

При обчисленні  вважати що π=3,14

View this question

0%
0%
0%
0%
View this question

0%
0%
0%
0%
View this question

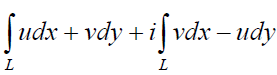
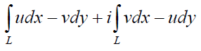
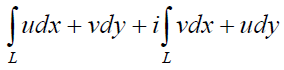
Інтеграл від функції комплексної змінної

f(z)=u(x,y)+iv(x,y)  ( z=x+iy

)вздовж кривої L

дорівнює:

0%
0%
0%
0%
View this question

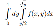
За рисунком 

1) знайдіть загальну площу, обмежену графіком функції f, віссю Ox

, прямими

x = 0 та x = 5;

2) інтеграл 

Відповіді ввести числами, розділеними ;

Перше число це відповідь до 1) завдання; число це відповідь до 2) завдання

View this question
Якщо , , то похідна за напрямом в точці дорівнює
100%
0%
0%
0%
View this question

View this question

Want instant access to all verified answers on mdl.kntu.net.ua?

Get Unlimited Answers To Exam Questions - Install Crowdly Extension Now!

Browser

Add to Chrome