logo

Crowdly

Browser

Add to Chrome

Теорія оптимального керування

Looking for Теорія оптимального керування test answers and solutions? Browse our comprehensive collection of verified answers for Теорія оптимального керування at moodle.chdtu.edu.ua.

Get instant access to accurate answers and detailed explanations for your course questions. Our community-driven platform helps students succeed!

Для якого випадку на кінцях фазової траєкторії умова трансверсальності має вигляд:

 

View this question

Для якої задачі динамічного програмування мають має місце така система рівнянь:

0%
0%
0%
View this question

У якій задачі керування система, що описає стан об'єкту керування, має такий вигляд:

View this question

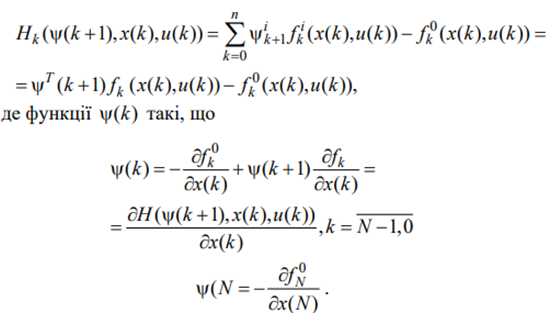
У якій задачі оптимального керування функція Гамільтона має такий вигляд:

View this question

0%
0%
View this question

Як називається задана задача оптимізації?

0%
50%
View this question

0%
0%
View this question

Які з перелічених задач можна розв'язувати методом динамічного програмування?

100%
0%
100%
0%
100%
50%
View this question

Як називаються задані рівняння?

View this question

Яка схема системи керування зображена на рисунку?

View this question

Want instant access to all verified answers on moodle.chdtu.edu.ua?

Get Unlimited Answers To Exam Questions - Install Crowdly Extension Now!

Browser

Add to Chrome