logo

Crowdly

Browser

Add to Chrome

25-26 EE2000: Embedded Systems Creative Team Project 2 TERM 1

Looking for 25-26 EE2000: Embedded Systems Creative Team Project 2 TERM 1 test answers and solutions? Browse our comprehensive collection of verified answers for 25-26 EE2000: Embedded Systems Creative Team Project 2 TERM 1 at moodle.royalholloway.ac.uk.

Get instant access to accurate answers and detailed explanations for your course questions. Our community-driven platform helps students succeed!

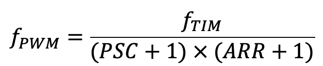
For STM32 timers, PWM frequency is calculated using the following equation, 

Equation

Where:

·      TIM = System clock frequency 

·       PSC = Prescaler value

·       ARR = Counter Period (Auto-Reload Register value) = 5999 

What will be the Prescaler value which will result in PWM time period of 3ms?

View this question

In the following circuit what is the purpose of using 74HC595 shift register? (tick all that apply, incorrect answers lower mark)

Circuit diagram

100%
100%
0%
0%
View this question

When you click pin PA7 in CubeMX, the following options become available for its configuration. Which option can we select to configure pin PA7 as PWM output? (tick all that apply, incorrect answers lower mark)

CubeMX Configuration

0%
0%
0%
0%
0%
View this question

According to the working principle of a DC Motor, shown in the figure which of the following statements is true? (tick all that apply, incorrect answers lower mark)

DC motor

100%
0%
0%
100%
0%
View this question

STM32 Nucleo board as shown in the figure below has three LEDs, match them with their correct labels,

View this question

According to the working principle of a DC Motor, shown in the figure which of the following statements is true? (tick all that apply, incorrect answers lower mark)

DC motor

100%
0%
0%
100%
0%
View this question

STM32 Nucleo board as shown in the figure below has three LEDs, match them with their correct labels,

View this question

One of the common field application of embedded systems is closed loop control in which, 

0%
0%
100%
0%
View this question

STM32 Nucleo board as shown in the figure below has three LEDs, match them with their correct labels,

View this question

Serial Peripheral Interface (SPI) is used for synchronous serial communication. It has a serial bus comprised of  4 wires as shown in the figure below,  write the missing titles of the three wires in correct order from top to bottom.

View this question

Want instant access to all verified answers on moodle.royalholloway.ac.uk?

Get Unlimited Answers To Exam Questions - Install Crowdly Extension Now!

Browser

Add to Chrome