logo

Crowdly

Browser

Add to Chrome

25-26 EE2000: Embedded Systems Creative Team Project 2 TERM 1

Looking for 25-26 EE2000: Embedded Systems Creative Team Project 2 TERM 1 test answers and solutions? Browse our comprehensive collection of verified answers for 25-26 EE2000: Embedded Systems Creative Team Project 2 TERM 1 at moodle.royalholloway.ac.uk.

Get instant access to accurate answers and detailed explanations for your course questions. Our community-driven platform helps students succeed!

When you click pin PA7 in CubeMX, the following options become available for its configuration. Which option can we select to configure pin PA7 as PWM output? (tick all that apply, incorrect answers lower mark)

CubeMX Configuration

0%
0%
0%
0%
0%
View this question

According to the working principle of a DC Motor, shown in the figure which of the following statements is true? (tick all that apply, incorrect answers lower mark)

DC motor

100%
50%
50%
100%
0%
View this question

This question is about Quantisation Error, which of the following statements is incorrect?

0%
25%
75%
0%
0%
View this question

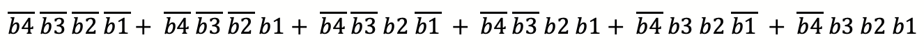
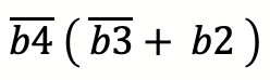
Using boolean algebra the following expression will reduce to, 

Remember in boolean algebra,

 and 

.

0%
0%
0%
100%
View this question

The below code is written in main.c file of a project in STM32CubeIDE, which of the following statements is true? (tick all that apply, incorrect answers lower mark)

/* USER CODE BEGIN WHILE */

while (1)

{

/* USER CODE END WHILE */

HAL_GPIO_WritePin(GPIOA, GPIO_PIN_5, GPIO_PIN_SET);

HAL_Delay(500);

HAL_GPIO_WritePin(GPIOA, GPIO_PIN_5, GPIO_PIN_RESET);

HAL_Delay(500);

/* USER CODE BEGIN 3 */

}

/* USER CODE END 3 */

33%
67%
33%
33%
33%
View this question

Consider a typical unipolar 8-bit ADC which has an input voltage range from 0 to 3.3 volts. What will be the resolution of the ADC in mV  up to 2 decimal places?

View this question

Which of the following statements are true about Universal Asynchronous Receiver/Transmitter (UART) communication? (tick all that apply, incorrect answers lower mark)

0%
0%
33%
100%
100%
View this question

An embedded system, (tick all that apply, incorrect answers lower mark)

100%
100%
50%
50%
View this question

Which of the following statements are incorrect about serial communication? (tick all that apply, incorrect answers lower mark)

0%
0%
0%
0%
0%
0%
View this question

What is the main purpose of the ".ioc" file in an STM32CubeIDE project? (tick all that apply, incorrect answers lower mark)

0%
0%
50%
100%
View this question

Want instant access to all verified answers on moodle.royalholloway.ac.uk?

Get Unlimited Answers To Exam Questions - Install Crowdly Extension Now!

Browser

Add to Chrome