logo

Crowdly

Browser

Add to Chrome

25-26 EE2020: Signals, Systems and Communications

Looking for 25-26 EE2020: Signals, Systems and Communications test answers and solutions? Browse our comprehensive collection of verified answers for 25-26 EE2020: Signals, Systems and Communications at moodle.royalholloway.ac.uk.

Get instant access to accurate answers and detailed explanations for your course questions. Our community-driven platform helps students succeed!

What

is the steady-state value of the pictorially integrated

x(t)

,

where

0%
0%
100%
View this question

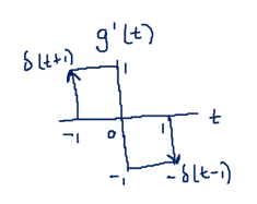
Which

of the following sketches is correct for the pictorial differentiation of

g(t

),

where

0%
0%
0%
View this question

What

is the expression for the spectral magnitude of

?

50%
50%
0%
View this question

What

is the expression for the spectrum of

?

 
0%
25%
50%
View this question

What

is the d.c. value of the spectrum of

100%
0%
0%
View this question

What

is the spectrum of

?

50%
50%
0%
View this question

If

the signal u(

t

)

+ u(

t

– 4)

 was pictorially differentiated, how many delta

functions would you see in the result?

25%
25%
50%
View this question

What

are the maximum and minimum values resulting from

u(t+1) – u(– t – 2) ?

0%
0%
0%
View this question

What is the overall duration of

0%
50%
50%
View this question

What is the overall duration of

0%
100%
0%
View this question

Want instant access to all verified answers on moodle.royalholloway.ac.uk?

Get Unlimited Answers To Exam Questions - Install Crowdly Extension Now!

Browser

Add to Chrome