logo

Crowdly

Browser

Add to Chrome

4TIM513U Bases d'Automatique

Looking for 4TIM513U Bases d'Automatique test answers and solutions? Browse our comprehensive collection of verified answers for 4TIM513U Bases d'Automatique at moodle.u-bordeaux.fr.

Get instant access to accurate answers and detailed explanations for your course questions. Our community-driven platform helps students succeed!

Soit un système d'entrée , de sortie , et de fonction de transfert .

La réponse de ce système à une entrée  de type échelon unitaire (  si  , sinon) est donnée sur la figure suivante :

REPONSE PREMIER ORDRE

A partir de cette réponse et en admettant que ce système est du premier ordre, la fonction de transfert peut s'écrire :

View this question

La figure suivante représente le diagramme de Bode avec ses asymptotes  d'une fonction de transfert

Bode PI

La fonction de transfert correspondante s'écrit:

0%
0%
0%
0%
View this question

Soit un système d'entrée , de sortie , et de fonction de transfert .

La réponse de ce système à une entrée  de type échelon unitaire (  si  , sinon) est :

0%
0%
0%
0%
View this question

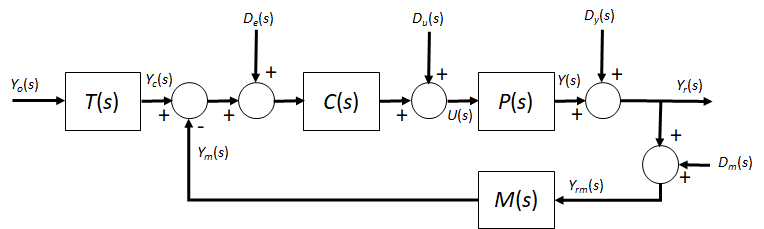
On considère le schéma bloc suivant:

La fonction de transfert entre la transformée de Laplace De(s) du signal d'entrée de(t) et la transformée de Laplace Yr(s) du signal de sortie yr(t) avec toutes les autres entrées nulles s'écrit :

View this question

Soit le système de fonction de transfert .

0%
0%
0%
0%
View this question

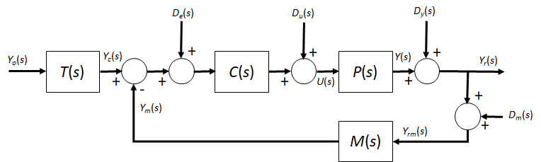
On considère le schéma bloc suivant:

La fonction de transfert entre la transformée de Laplace DY(s) du signal d'entrée dY(t) et la transformée de Laplace Yr(s) du signal de sortie yr(t) avec toutes les autres entrées nulles s'écrit :

View this question

Soit un système d'entrée , de sortie  et de fonction de transfert .

La réponse à une entrée sinusoïdale de pulsation , , est  où :

0%
0%
0%
0%
0%
0%
View this question

La figure suivante représente le diagramme de Bode avec ses asymptotes  d'une fonction de transfert

BLABLA

La fonction de transfert correspondante s'écrit:

View this question

Soit le système de fonction de transfert .

0%
0%
0%
0%
0%
View this question

Soit les réponse temporelles de quatre systèmes dynamiques données sur le diagramme suivant :

Diagramme de Bode de systèmes du second ordre

Classer les fonctions de transfert de celle ayant le plus petit amortissement à celle ayant le plus grand amortissement.

View this question

Want instant access to all verified answers on moodle.u-bordeaux.fr?

Get Unlimited Answers To Exam Questions - Install Crowdly Extension Now!

Browser

Add to Chrome