logo

Crowdly

Browser

Add to Chrome

4TIM513U Bases d'Automatique

Looking for 4TIM513U Bases d'Automatique test answers and solutions? Browse our comprehensive collection of verified answers for 4TIM513U Bases d'Automatique at moodle.u-bordeaux.fr.

Get instant access to accurate answers and detailed explanations for your course questions. Our community-driven platform helps students succeed!

Soit un système d'entrée , de sortie , et de fonction de transfert .

La réponse de ce système à une entrée  de type échelon unitaire (  si  , sinon) est donnée sur la figure suivante :

REPONSE PREMIER ORDRE

A partir de cette réponse et en admettant que ce système est du premier ordre, la fonction de transfert peut s'écrire :

0%
0%
0%
0%
View this question

Soit un système d'entrée , de sortie  et de fonction de transfert .

En utilisant le théorème de la valeur finale, déterminer vers quelle valeur tend la sortie du système en régime permanent : lorsque l'entrée appliquée  est une impulsion de Dirac.

View this question

Soit un système d'entrée , de sortie , et de fonction de transfert .

On applique à l'entrée de ce système une impulsion de Dirac de transformée de Laplace égale à 1. La sortie est égale à :

0%
0%
0%
0%
View this question

Soit la fonction de transfert

entre la transformée

de Laplace de l'entrée

et de la sortie  suivante :

L'équation différentielle correspondante entre l'entrée  et la sortie  est donnée par l'expression suivante :

0%
0%
0%
0%
View this question

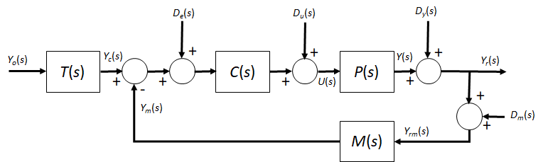
On considère le schéma bloc suivant:

La fonction de transfert entre la transformée de Laplace DY(s) du signal d'entrée dY(t) et la transformée de Laplace Yr(s) du signal de sortie yr(t) avec toutes les autres entrées nulles s'écrit :

0%
0%
0%
0%
View this question

Soit un système d'entrée , de sortie , et de fonction de transfert .

La réponse de ce système à une entrée  de type échelon unitaire (  si  , sinon) est :

View this question

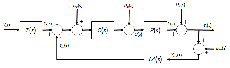
On considère le schéma bloc suivant:

La fonction de transfert entre la transformée de Laplace De(s) du signal d'entrée de(t) et la transformée de Laplace Yr(s) du signal de sortie yr(t) avec toutes les autres entrées nulles s'écrit :

0%
0%
0%
0%
0%
View this question

Soit l'équation différentielle suivante modélisant un système d'entrée  et de sortie  :

La fonction de transfert correspondante  entre la transformée de Laplace de l'entrée et de la sortie  est :

0%
0%
0%
0%
0%
View this question

Want instant access to all verified answers on moodle.u-bordeaux.fr?

Get Unlimited Answers To Exam Questions - Install Crowdly Extension Now!

Browser

Add to Chrome