logo

Crowdly

Browser

Add to Chrome

Dinámica de sistemas

Looking for Dinámica de sistemas test answers and solutions? Browse our comprehensive collection of verified answers for Dinámica de sistemas at moodle.upm.es.

Get instant access to accurate answers and detailed explanations for your course questions. Our community-driven platform helps students succeed!

Con respecto a la señal de la figura, se puede afirmar que:

0%
0%
0%
0%
View this question

Siendo (delta(t)=impulso unitario y  u0(t)=escalón unitario), la señal de la figura se corresponde con:

0%
0%
0%
View this question

De un sistema que tiene el comportamiento mostrado en la figura,  se puede decir:

 

0%
0%
0%
0%
View this question

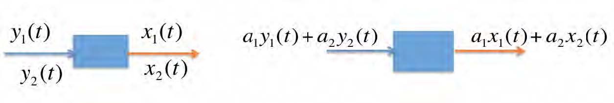
El principio de superposición:

0%
0%
0%
0%
View this question

Se tiene un sistema linealizado en torno a un punto de equilibrio dado por x0 = 1, y0 = 2,

0%
0%
0%
0%
View this question

Linealizar la ecuación diferencial: 

En torno al punto de equilibrio definido por α0=π:

0%
0%
0%
0%
View this question

Un sistema causal se modela por medio de la ecuación diferencial ẍ2(t) + x2(t) - x1(t)= 0

View this question

Cuando se dice que una ecuación diferencial lineal está expresada en

variables incrementales, nos referimos a que:

0%
0%
0%
0%
View this question

Cuál es la función

de transferencia que se obtiene al linealizar la ecuación diferencial:

0%
0%
0%
0%
View this question

Aplicando el concepto de impedancia  operacional. El valor final de la UL ante un escalón de 2 unidades en la entrada U y condiciones iniciales nulas es:

View this question

Want instant access to all verified answers on moodle.upm.es?

Get Unlimited Answers To Exam Questions - Install Crowdly Extension Now!

Browser

Add to Chrome