logo

Crowdly

Browser

Add to Chrome

БІОМЕТРІЯ (д.ф.н., м/с, малокомплектні групи)

Looking for БІОМЕТРІЯ (д.ф.н., м/с, малокомплектні групи) test answers and solutions? Browse our comprehensive collection of verified answers for БІОМЕТРІЯ (д.ф.н., м/с, малокомплектні групи) at moodle.vnu.edu.ua.

Get instant access to accurate answers and detailed explanations for your course questions. Our community-driven platform helps students succeed!

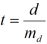
Формулу  використовують для:

0%
0%
0%
0%
0%
View this question

Коефіцієнт Фішера використовують для 

оцінки

вірогідності різниці середніх арифметичних порівнювальних груп?

100%
0%
View this question

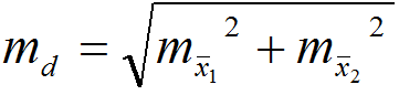
У формулі     

означає:

0%
0%
0%
0%
0%
View this question

Для більшої дисперсії ν=10, для меншої дисперсії ν=18, чому дорівнює Fтабл. при р=0,95 ?

View this question

А - це умовна середня ?

0%
100%
View this question

При підрахунку моди чому дорівнює   ?

View this question

Вкажіть значення у виділеній комірці.

View this question

При підрахунку медіани чому дорівнює  ?

View this question

Чому дорівнює а?

View this question

- позначення міжкласових інтервалів класів ?

100%
0%
View this question

Want instant access to all verified answers on moodle.vnu.edu.ua?

Get Unlimited Answers To Exam Questions - Install Crowdly Extension Now!

Browser

Add to Chrome