logo

Crowdly

Browser

Add to Chrome

БІОМЕТРІЯ (д.ф.н., м/с, малокомплектні групи)

Looking for БІОМЕТРІЯ (д.ф.н., м/с, малокомплектні групи) test answers and solutions? Browse our comprehensive collection of verified answers for БІОМЕТРІЯ (д.ф.н., м/с, малокомплектні групи) at moodle.vnu.edu.ua.

Get instant access to accurate answers and detailed explanations for your course questions. Our community-driven platform helps students succeed!

Яке число буде у комірці жовтого кольору?

View this question

А, В та  С – події, які полягають в тому, що випадково вибрана людина має відповідно чоловічу стать, блакитні очі та кучеряве волосся.  Чи правильно позначена подія А|(ВС), яка означає що випадково вибрана людина з блакитними очами і кучерявим волоссям буде чоловіком?

100%
0%
View this question

t=0,3 , а ν =5

Чому дорівнює його ймовірність? (вкажіть число)

View this question

При підрахунку медіани чому дорівнює  ?

View this question

Якщо  (4, 1, 0,33), 

то чому дорівнює біноміальний коефіцієнт?

View this question

Число перестановок з n об'єктів ?

P= n+(n-1)+(n-2)+ ... +3+2+1

0%
0%
View this question

Якщо r=0,71, чому дорівнює z?

View this question

Якщо  (4, 3, 0,7), 

то чому дорівнює біноміальний коефіцієнт?

View this question
Вкажіть, як позначається міжкласовий інтервал?
0%
0%
0%
0%
0%
View this question

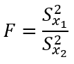
У формулі для коефіцієнта Фішера  використовують формулу  , де:

0%
0%
View this question

Want instant access to all verified answers on moodle.vnu.edu.ua?

Get Unlimited Answers To Exam Questions - Install Crowdly Extension Now!

Browser

Add to Chrome