logo

Crowdly

Browser

Add to Chrome

БІОМЕТРІЯ (д.ф.н., м/с, малокомплектні групи)

Looking for БІОМЕТРІЯ (д.ф.н., м/с, малокомплектні групи) test answers and solutions? Browse our comprehensive collection of verified answers for БІОМЕТРІЯ (д.ф.н., м/с, малокомплектні групи) at moodle.vnu.edu.ua.

Get instant access to accurate answers and detailed explanations for your course questions. Our community-driven platform helps students succeed!

При підрахунку моди чому дорівнює   ?

View this question

 при розрахунку критерія хі-квадрат позначають теоретичну (передбачену) частоту?

100%
0%
View this question

Якщо Fексп >Fтабл, р=0,95 , то приймається нульова гіпотеза з ймовірністю р≥0,95 ?

100%
0%
View this question

Чому дорівнює коефіцієнт Пуассона, якщо число подій у класі - 1, а середня арифметична була 0,7?

View this question
Вкажіть правильне продовження наступного виразу: «Кількість екземплярів, що мають дане значення ознаки, називають...»:
0%
0%
0%
0%
0%
View this question

На діаграмі Венна вся зафарбована область відповідає.

100%
0%
View this question

Чому дорівнює ?

View this question

Рівняння лінійної регресії має вигляд:

View this question

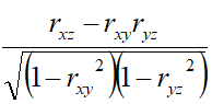
Формула для визначення

частинного коефіцієнта кореляції між

ознаками X та У

при постійній величині ознаки

Z

буде

мати вигляд:

0%
100%
View this question
Вкажіть число перестановок з 4.
View this question

Want instant access to all verified answers on moodle.vnu.edu.ua?

Get Unlimited Answers To Exam Questions - Install Crowdly Extension Now!

Browser

Add to Chrome