logo

Crowdly

Browser

Add to Chrome

Математичні методи в біології

Looking for Математичні методи в біології test answers and solutions? Browse our comprehensive collection of verified answers for Математичні методи в біології at moodle.vnu.edu.ua.

Get instant access to accurate answers and detailed explanations for your course questions. Our community-driven platform helps students succeed!

 при розрахунку критерія хі-квадрат позначають теоретичну (передбачену) частоту?

100%
0%
View this question

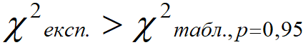
Нульова гіпотеза приймається, якщо 

0%
100%
View this question

Чому дорівнює , якщо ν=4

View this question

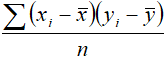
Це коефіцієнт коваріації?

100%
0%
View this question

Цей кореляційний

зв'язок

:

View this question

Яке число буде у комірці жовтого кольору?

View this question

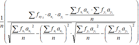
Це коефіцієнт асоціації.

0%
0%
View this question

Чому дорівнює частота модального класу ряду x?

View this question

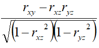
Формула для визначення

частинного коефіцієнта кореляції між ознаками

X та Z

при виключені

впливу на цей зв'язок ознаки

У

буде

мати вигляд:

0%
0%
View this question

Жовтим кольором показаний 2-й квадрант.

0%
0%
View this question

Want instant access to all verified answers on moodle.vnu.edu.ua?

Get Unlimited Answers To Exam Questions - Install Crowdly Extension Now!

Browser

Add to Chrome