logo

Crowdly

Browser

Add to Chrome

Математичні методи в біології

Looking for Математичні методи в біології test answers and solutions? Browse our comprehensive collection of verified answers for Математичні методи в біології at moodle.vnu.edu.ua.

Get instant access to accurate answers and detailed explanations for your course questions. Our community-driven platform helps students succeed!

Множина  складається з усіх елементів, які не входять в 

0%
100%
View this question

View this question

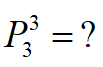
3! =

View this question
1! дорівнює 
View this question

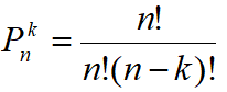
Число перестановок з n об'єктів по k

0%
100%
View this question

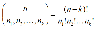
Число сполучень з n об'єктів за k  дорівнює   ?

0%
0%
View this question

Якщо білу мишу можна вибрати  способами, а сіру мишу - n способами, то вибрати двох різних мишей (за забарвленням) можна n×m способами.

100%
0%
View this question

View this question

100%
0%
View this question

Число перестановок з n об'єктів

0%
0%
View this question

Want instant access to all verified answers on moodle.vnu.edu.ua?

Get Unlimited Answers To Exam Questions - Install Crowdly Extension Now!

Browser

Add to Chrome