logo

Crowdly

Browser

Add to Chrome

Математичні методи в біології

Looking for Математичні методи в біології test answers and solutions? Browse our comprehensive collection of verified answers for Математичні методи в біології at moodle.vnu.edu.ua.

Get instant access to accurate answers and detailed explanations for your course questions. Our community-driven platform helps students succeed!

View this question

0%
0%
View this question

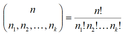
Число різних сполучень визначають за допомогою   ?

0%
0%
View this question

Якщо першу дію можна виконати n1 способами, після чого другу дію можна здійснити n2

способами і так далі і m-ну дію можна здійснити nm

способами, то всі

m

дій можуть

бути виконані

n1·n2·…·nm способами.

100%
0%
View this question

Перестановка з n

об'єктів

взятих за

k

- це

довільний вибір

k об'єктів з n

незалежно

від порядку вибору.

0%
0%
View this question

0%
0%
View this question

Якщо скінчений простір ймовірностей S розбито на підмножини S1, S2, ..., Sn, що не перетинаються, то для будь-якої події E в S є правильною формула:

де k=1, 2, , n (k ціле додатне число).

Це теорема Байєса?

0%
0%
View this question

50%
50%
View this question

Підкидання грального кубіка є повторним випробуванням?

0%
0%
View this question

А, В та  С – події, які полягають в тому, що випадково вибрана людина має відповідно чоловічу стать, блакитні очі та кучеряве волосся.  Чи правильно позначена подія Ā(ВС), яка означає що випадково вибрана людина з блакитними очами і кучерявим волоссям буде жінкою?

0%
0%
View this question

Want instant access to all verified answers on moodle.vnu.edu.ua?

Get Unlimited Answers To Exam Questions - Install Crowdly Extension Now!

Browser

Add to Chrome