logo

Crowdly

Browser

Add to Chrome

Математичні методи в біології

Looking for Математичні методи в біології test answers and solutions? Browse our comprehensive collection of verified answers for Математичні методи в біології at moodle.vnu.edu.ua.

Get instant access to accurate answers and detailed explanations for your course questions. Our community-driven platform helps students succeed!

Число сполучень з n об'єктів за k  дорівнює   ?

0%
0%
View this question

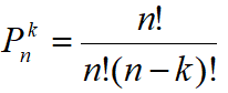
Число перестановок з n об'єктів по k

0%
0%
View this question

На діаграмі Венна область, яка виглядає синього кольору, відповідає .

100%
0%
View this question

Сума

квадратів відхилень від експериментальних точок до теоретичної лінії регресії є:

0%
0%
0%
0%
View this question

Великий обсяг сукупності є тоді, коли кількість даних у кожній групі є не менша ніж 20–30 ?

0%
0%
View this question

 при розрахунку критерія хі-квадрат позначають теоретичну (передбачену) частоту?

100%
0%
View this question

Загальна кількість

ступенів вільності  двох груп експериментальних даних дорівнює:

0%
0%
0%
0%
0%
View this question

При написанні начотних рядів вкажіть, яке число буде у жовтій клітинці?

View this question
Які з нижчеперелічених ознак слід віднести до кількісних?
0%
0%
0%
0%
View this question

Термін "кореляція" запропоновано:

View this question

Want instant access to all verified answers on moodle.vnu.edu.ua?

Get Unlimited Answers To Exam Questions - Install Crowdly Extension Now!

Browser

Add to Chrome