logo

Crowdly

Browser

Add to Chrome

Математичні методи в біології

Looking for Математичні методи в біології test answers and solutions? Browse our comprehensive collection of verified answers for Математичні методи в біології at moodle.vnu.edu.ua.

Get instant access to accurate answers and detailed explanations for your course questions. Our community-driven platform helps students succeed!

За своєю природою біноміальний розподіл -

View this question

Значення товщини стовбура дерев певної породи (в межах біологічної мінливості ознаки) може підпорядковуватись закону Пуассона?

0%
0%
View this question

Чому дорівнює функція

нормальної густини ймовірності, якщо нормоване відхилення - 0,05 (з точністю до тисячних)?

View this question

Для більшої дисперсії ν=10, для меншої дисперсії ν=18, чому дорівнює Fтабл. при р=0,95 ?

View this question

Вкажіть значення у виділеній комірці.

View this question

Коефіцієнт Ст’юдента позначають літерою:

View this question

А - це позначення 

відхилення класових

варіант від 

умовної середньої ?

100%
0%
View this question

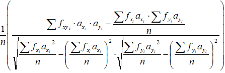
Це коефіцієнт кореляції

Браве-Пірсона.

100%
0%
View this question

Якщо Fексп <Fтабл, р=0,95 , то 

різниця в

мінливості між обома групами вважається статистично не

істотною ?

0%
100%
View this question

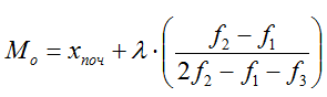
Це формула моди?

0%
0%
View this question

Want instant access to all verified answers on moodle.vnu.edu.ua?

Get Unlimited Answers To Exam Questions - Install Crowdly Extension Now!

Browser

Add to Chrome