logo

Crowdly

Browser

Add to Chrome

Математичні методи в біології

Looking for Математичні методи в біології test answers and solutions? Browse our comprehensive collection of verified answers for Математичні методи в біології at moodle.vnu.edu.ua.

Get instant access to accurate answers and detailed explanations for your course questions. Our community-driven platform helps students succeed!

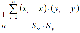
Ступінь зв'язку одної ознаки (X

) з

двома іншими ознаками (

У та Z) вимірюють за допомогою коефіцієнта:

0%
View this question

- позначення міжкласових інтервалів класів ?

0%
100%
View this question

При використанні метода хі-квадрат, яке число буде в жовтій комірці?

View this question
Беззмістовних кореляцій не існує.
0%
100%
View this question

У формулі  означає 

центральний

момент першого порядку ?

0%
0%
View this question

Формула середнього арифметичного:

0%
0%
0%
0%
0%
View this question

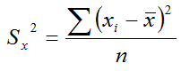
При підрахунку медіани, чому дорівнює у формулі вираз   ?

View this question

Це коефіцієнт коваріації?

0%
0%
View this question

Вкажіть ранг червоного числа:

View this question

Яке число буде у комірці жовтого кольору?

View this question

Want instant access to all verified answers on moodle.vnu.edu.ua?

Get Unlimited Answers To Exam Questions - Install Crowdly Extension Now!

Browser

Add to Chrome