logo

Crowdly

Browser

Add to Chrome

Математичні методи в біології

Looking for Математичні методи в біології test answers and solutions? Browse our comprehensive collection of verified answers for Математичні методи в біології at moodle.vnu.edu.ua.

Get instant access to accurate answers and detailed explanations for your course questions. Our community-driven platform helps students succeed!

Коефіцієнт Фішера використовують для 

оцінки

вірогідності різниці в мінливості для порівнювальних груп?

0%
0%
View this question

С

ереднє

квадратичне відхилення при біноміальному розподілі можна обчислити за

формулою:

0%
0%
View this question

Для більшої дисперсії ν=5, для меншої дисперсії ν=20, чому дорівнює Fтабл. при р=0,95 ?

View this question

Якщо

теоретичний розподіл зводиться до встановлення певних пропорцій у частотах

класів, то 

ν=

View this question

Чому дорівнює число ступенів вільності при аналізі цього нормального розподілу?

View this question

Кількість мутантних клітин в колонії опромінених мікроорганізмів може підпорядковуватись закону Пуассона?

100%
0%
View this question

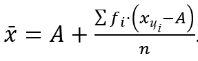
формула застосовується у методі (методах):

0%
0%
0%
0%
View this question

Якщо

обчислюють теоретичні частоти варіант у класах під час аналізу розподілу Пуассона, то  ν=

View this question

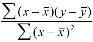
Це формула коефіцієнта регресії  ?

100%
0%
View this question

Чому дорівнює , якщо ν=4

View this question

Want instant access to all verified answers on moodle.vnu.edu.ua?

Get Unlimited Answers To Exam Questions - Install Crowdly Extension Now!

Browser

Add to Chrome