logo

Crowdly

Browser

Add to Chrome

CÁLCULO I

Looking for CÁLCULO I test answers and solutions? Browse our comprehensive collection of verified answers for CÁLCULO I at online.upr.edu.

Get instant access to accurate answers and detailed explanations for your course questions. Our community-driven platform helps students succeed!

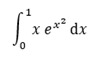
Al utilizar la Parte II del Teorema Fundamental del Cálculo para evaluar la integral    se obtiene
0%
0%
0%
0%
0%
View this question
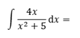
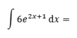
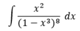
Al evaluar la integral indefinida   se obtiene
0%
0%
0%
0%
0%
View this question
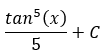
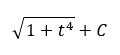
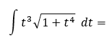
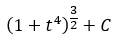
Al  evaluar  la integral indefinida     se obtiene
0%
0%
0%
0%
100%
View this question

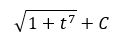
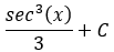
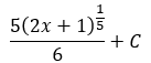
Al evaluar la integral indefinida se obtiene     

100%
0%
0%
0%
0%
View this question

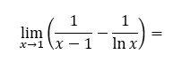
Al utilizar la Regla de L'Hospital para calcular el límite     

0%
0%
0%
0%
100%
View this question
Al evaluar la  integral indefinida     se obtiene
0%
0%
0%
0%
0%
View this question

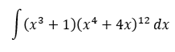
Al evaluar la integral indefinida se obtiene    

0%
0%
0%
0%
0%
View this question
Al evaluar la integral indefinida   se obtiene
0%
0%
0%
0%
0%
View this question
Al evaluar la integral indefinida   se obtiene
0%
0%
0%
0%
0%
View this question

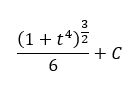
Al evaluar la integral indefinida se obtiene    

100%
0%
0%
0%
0%
View this question

Want instant access to all verified answers on online.upr.edu?

Get Unlimited Answers To Exam Questions - Install Crowdly Extension Now!

Browser

Add to Chrome