logo

Crowdly

Browser

Add to Chrome

CÁLCULO I

Looking for CÁLCULO I test answers and solutions? Browse our comprehensive collection of verified answers for CÁLCULO I at online.upr.edu.

Get instant access to accurate answers and detailed explanations for your course questions. Our community-driven platform helps students succeed!

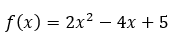
Los intervalos en donde la gráfica de la función    es cóncava hacia abajo son
100%
0%
0%
0%
0%
View this question
Se lanza un objeto al aire desde un edificio que mide 150 metros de altura con una velocidad inicial de 70 m/s . El intervalo de tiempo en que está bajando el objeto es
0%
0%
100%
0%
0%
View this question
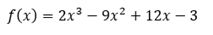
Los intervalos en donde la función  es creciente son
100%
0%
0%
0%
0%
View this question
Se lanza un objeto al aire desde un edificio que mide 150 metros de altura con una velocidad inicial de 70 m/s . La ecuación velocidad que nos da la velocidad del objeto en cualquier tiempo t es
0%
0%
0%
0%
0%
View this question
Al calcular el valor de c que satisface la conclusión del Teorema de Rolle con la función en el intervalo    es
0%
0%
0%
0%
0%
View this question
Al utilizar las reglas de las derivadas para calcular la derivada de  se obtiene
100%
0%
0%
0%
View this question
Al utilizar diferenciación logarítmica para calcular la derivada de     se obtiene
0%
0%
0%
0%
0%
View this question
El valor mínimo absoluto de la función   en el intervalo  
0%
0%
0%
0%
0%
View this question
El valor mínimo absoluto de la función     en el intervalo  
0%
0%
100%
0%
0%
View this question
Un tanque en forma cilíndrico que mide 15 pies de altura y 20 pies de diámetro se está llenando de aceite a una razón de 2 pies cúbicos por segundo. La velocidad con que aumenta la profundidad del aceite cuando la profundidad del aceite es 8 pies es
0%
0%
0%
0%
0%
View this question

Want instant access to all verified answers on online.upr.edu?

Get Unlimited Answers To Exam Questions - Install Crowdly Extension Now!

Browser

Add to Chrome