logo

Crowdly

Browser

Add to Chrome

CÁLCULO I

Looking for CÁLCULO I test answers and solutions? Browse our comprehensive collection of verified answers for CÁLCULO I at online.upr.edu.

Get instant access to accurate answers and detailed explanations for your course questions. Our community-driven platform helps students succeed!

Un agricultor tiene  2400 pies de alambre para construir un corral (rectangular o cuadrado)  colocando dos líneas de alambre por cada lado.  Encuentre las medidas (ancho y largo) del corral de manera que el área encerrada sea máxima.

0%
0%
0%
0%
0%
View this question
El área exacta debajo de la curva      en el intervalo    y  sobre el eje de  x  es
0%
0%
0%
0%
0%
View this question
Utiliando la Regla de L’Hospital el límite  es
0%
0%
0%
0%
100%
View this question

Al evaluar la integral definida se obtiene   

0%
0%
0%
0%
0%
View this question

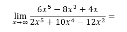
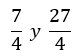
Al calcular el límite   se obtiene

0%
0%
0%
0%
100%
View this question

Al utilizar la Regla de L'Hospital para calcular el límite   

0%
100%
0%
0%
0%
View this question

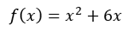
Hallar dos números tales que el cuadrado de uno multiplicado por el otro sea máximo y donde la suma de ambos números sea 40.

100%
0%
0%
0%
0%
View this question

Al calcular el límite  se obtiene

0%
0%
0%
0%
0%
View this question
Al evaluar la integral indefinida    se obtiene
0%
100%
0%
0%
0%
View this question
Si   ,  al aplicar la Parte I del Teorema Fundamental del Cálculo  para calcular   se obtiene
0%
0%
0%
100%
0%
View this question

Want instant access to all verified answers on online.upr.edu?

Get Unlimited Answers To Exam Questions - Install Crowdly Extension Now!

Browser

Add to Chrome