logo

Crowdly

Browser

Add to Chrome

CÁLCULO I

Looking for CÁLCULO I test answers and solutions? Browse our comprehensive collection of verified answers for CÁLCULO I at online.upr.edu.

Get instant access to accurate answers and detailed explanations for your course questions. Our community-driven platform helps students succeed!

Un globo esférico lleno de agua se está vaciando a una razón de 4 centímetros cúbicos por segundos. La velocidad con que está decreciendo el radio del agua cuando el diámetro es 80 cm es
0%
100%
0%
0%
0%
View this question
Al utilizar las reglas de las derivadas para calcular la derivada de se obtiene
0%
0%
100%
0%
0%
View this question
Los puntos mínimos locales de la función     son
0%
0%
0%
0%
0%
View this question
Los puntos de inflexión de la gráfica de la función     son
0%
0%
0%
0%
0%
View this question
Al utilizar diferenciación implícita para calcular    en             se obtiene
0%
0%
0%
0%
0%
View this question
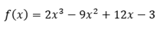
Los puntos máximos locales de la función   son
0%
0%
0%
0%
100%
View this question
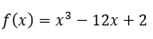
Los intervalos en donde la función     es  decreciente  son
0%
0%
0%
0%
0%
View this question
Al utilizar diferenciación implícita para calcular  en       se obtiene
0%
0%
0%
100%
0%
View this question
Se lanza un objeto al aire desde un edificio que mide 80 metros de altura con una velocidad inicial de 60 m/s . La altura máxima alcanzada por el objeto es
0%
0%
100%
0%
0%
View this question
Los intervalos en donde la función     es  decreciente  son
100%
0%
0%
0%
0%
View this question

Want instant access to all verified answers on online.upr.edu?

Get Unlimited Answers To Exam Questions - Install Crowdly Extension Now!

Browser

Add to Chrome