logo

Crowdly

Browser

Add to Chrome

Mécanique des milieux continus

Looking for Mécanique des milieux continus test answers and solutions? Browse our comprehensive collection of verified answers for Mécanique des milieux continus at pedagogie.eigsi.fr.

Get instant access to accurate answers and detailed explanations for your course questions. Our community-driven platform helps students succeed!

On considère deux types de domaine.

• Domaine fixe : domaine immobile de l’espace, ouvert

• Domaine matériel : domaine mobile et toujours constitué des mêmes particules

Ces domaines sont en fait des cas particuliers d'un seul et même domaine : le domaine ouvert et en mouvement.

Apparier les types de domaine avec leur exemple correspondant

View this question

Sélectionner parmi les grandeurs ci-dessous les grandeurs qui sont extensives

View this question

Une étude a été réalisée sur une pièce de structure afin de valider sa tenue mécanique.

Plusieurs points critiques en surface de la pièce ont été identifiés.

Les cercles de Mohr de ces 4 points sont donnés ci-dessous.

Laquelle de ces affirmations est juste ?

View this question

Apparier

View this question

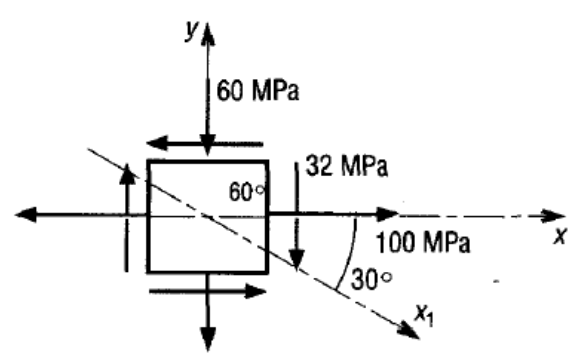
Soit l'état de contraintes au point M représenté sur la figure ci-dessous.

La plus grande contrainte normale vaut en MPa (arrondir à l'entier le plus proche)

View this question

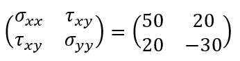
Soit l'état de contraintes ci-dessous dans le repère (x,y,z)

Pour une facette de normale n faisait un angle θ avec l'axe x, la contrainte normale σnn a pour expression

----------------------------------------------------------------------

La contrainte normale évolue donc suivant la courbe :

0%
0%
0%
0%
View this question

Toutes les composantes du tenseur des contraintes ne sont pas indépendantes, pourquoi ?

View this question

Le tenseur des contraintes en 3D comporte 9 composantes. Combien sont indépendantes ?

View this question

Les indices i et j des composantes σij du tenseur des contraintes font référence

0%
0%
0%
View this question

Soit le tenseur ci-dessous dans le repère (x,y,z)

View this question

Want instant access to all verified answers on pedagogie.eigsi.fr?

Get Unlimited Answers To Exam Questions - Install Crowdly Extension Now!

Browser

Add to Chrome