logo

Crowdly

Browser

Add to Chrome

Mécanique des milieux continus

Looking for Mécanique des milieux continus test answers and solutions? Browse our comprehensive collection of verified answers for Mécanique des milieux continus at pedagogie.eigsi.fr.

Get instant access to accurate answers and detailed explanations for your course questions. Our community-driven platform helps students succeed!

Apparier le symbole avec la grandeur correspondante

View this question

On distingue les actions

View this question

Représentation graphique d’un état de déformations en un point

Le système ci-dessous représente, dans le plan (εnnnt),

 

View this question

Le capteur ci-dessous est

0%
0%
0%
0%
0%
View this question

A partir du champ de déformations, on peut souhaiter estimer le champ de déplacement. Ce champ de déplacement est obtenu par intégration des 6 relations cinématiques donnant les 6 composantes du tenseur des déformations en fonction des composantes du vecteur déplacement.

Or le champ de déplacement ne comporte que 3 composantes.

Ainsi pour que la solution soit unique, les composantes du tenseur de déformation doivent vérifier des relations appelées

 

View this question

Attribuer les tenseurs des déformations ci-dessous aux états de déformation correspondant

View this question

Dans la figure ci-dessous (cocher la ou les bonnes réponses)

0%
0%
0%
View this question

ε12 est

0%
0%
100%
100%
0%
View this question

Les composantes de la matrice qui représente le tenseur des déformations nous renseignent sur

(une seule réponse possible)

View this question

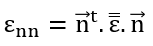
Déformation εnn d’une fibre orientée selon

0%
0%
0%
View this question

Want instant access to all verified answers on pedagogie.eigsi.fr?

Get Unlimited Answers To Exam Questions - Install Crowdly Extension Now!

Browser

Add to Chrome